ÈÇÓ×ÅÍÈÅ ßÇÛÊΠ- ßÏÎÍÑÊÈÉ
STUDY LANGUAGES - JAPANESE

8. JLPT

U:\Data\Japanese\jlpt_(2001-2006)\2004 Track1+


Menu JLPT / 2004: JLPT-3 (N4-N3)
Japanese language proficiency test
016 - Task 1, 2
Listening comprehension

 
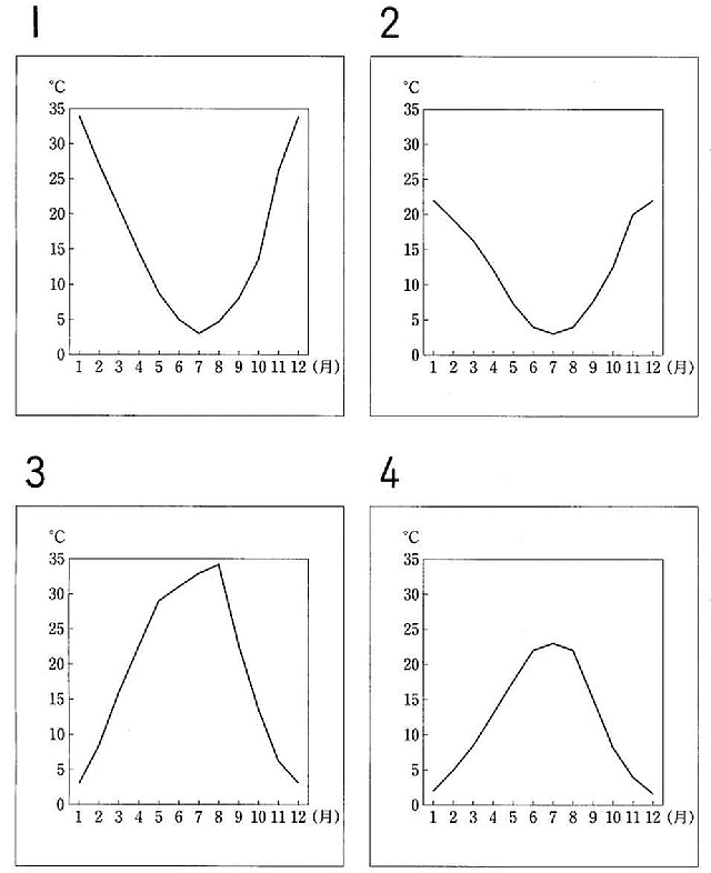
問題Ⅰ
例(1).


1.     2.     3.     4.  
 
例(2).


1.     2.     3.     4.
  

問(1)



1.     2.     3.     4.  

問(2)



1.     2.     3.     4.  

問(3)



1.     2.     3.     4.  

問(4)



1.     2.     3.     4.  

問(5)



1.     2.     3.     4.  

問(6)



1.     2.     3.     4.  

問(7)



1.     2.     3.     4.  

問(8)



1.     2.     3.     4.  

問(9)



1.     2.     3.     4.  

問(10)



1.     2.     3.     4.  

問(11)



1.     2.     3.     4.  

問(12)



1.     2.     3.     4.  

問(13)



1.     2.     3.     4.  

問(14)



1.     2.     3.     4.  


問題Ⅱ 絵などがありません
19:00

1.     2.     3.     4.  

 

問(1)


1.     2.     3.     4.  

問(2)


1.     2.     3.     4.  

問(3)


1.     2.     3.     4.  

問(4)


1.     2.     3.     4.  

問(5)


1.     2.     3.     4.  

問(6)


1.     2.     3.     4.  

問(7)


1.     2.     3.     4.  

問(8)


1.     2.     3.     4.  

問(9)


1.     2.     3.     4.  

問(10)


1.     2.     3.     4.  

問(11)


1.     2.     3.     4.