ÈÇÓ×ÅÍÈÅ ßÇÛÊΠ- ßÏÎÍÑÊÈÉ
STUDY LANGUAGES - JAPANESE

8. JLPT


Menu JLPT / 2005: JLPT-1 (N2-N1)
Japanese language proficiency test
016 - Task 1, 2
Listening comprehension

 
00:01
問題Ⅰ
このページはメモに使ってもいいです
 





例(1).


1.     2.     3.     4.  
問題 Ⅰ



解 答 欄
Anwser Sheet
① ② ③ ④
問1 ① ② ③ ④





例(2).

1.仕事と勉強     2.仕事と観光     3.観光と勉強     4.仕事と勉強と観光  
問題 Ⅰ



解 答 欄
Anwser Sheet
① ② ③ ④
問1 ① ② ③ ④





問(1)


聴解スクリプト:
1番:女の人と男の人が話しています。この男の人の顔は今どうなっていますか。
女:ああ、よく焼けているね。夏休み中には海にでも行ったの。
男:うん。発掘調査のせい。
女:そう言えば、考古学の授業で夏休みに調査があるって言ったはね。
男:そうそう、やっぱり真夏の調査は暑くて、大変だった。
女:発掘の時、目回りグラスをかけたのね。
男:こんなにくっきり痕ついちゃった。
質問:この男の人の顔は今どうなっていますか。


1.     2.     3.     4.  

問(2)


聴解スクリプト:
2番:男の人と女の人はこれから海で泳ごうとしています。
二人はどこで泳ぐことにしましたか。
男:ああ、きれいだなあ。
女:ほんとう。
ね、どこで泳ぐ? 男:あの岬(みさき)のところが良い。
あの灯台の向こう側にきれいな花があるらしいよ。
女:ちょっと遠いなあ。
あのところで泳いでいる人が居ないじゃないの。
男:だからいいだよ。
誰も邪魔されずに、思い切って泳げたいんだ。
女:じゃあ、そのお崖(がけ)の下は、あそこも人がいないよ。
男:でも、岩がたくさんあって、危ないよ。
女:えん、あの島、つりやっている人が居るしね。
分かった、じゃあ、やっぱり岬まで行きましょう。
質問:二人はどこで泳ぐことにしましたか。


1.     2.     3.     4.  

問(3)


聴解スクリプト:
3番 男の人が自分の国のお茶の作法を説明しています。
話と合っている絵はどれですか。
男:私たちの国にも日本と同じように伝統的なお茶の作法があります。
で も、日本のとはかなり違いますのでご説明しましょう。
お茶が配られましたら、日本の方がびっくりなされるかもしれませんが、カップのお茶をわざわざお皿に溢し(こぼし)て、お皿で飲みます。
あ、カップを持つときは右手で持つ決まりです。
飲むときはお皿を両手で持ちます。
質問:話と合っている絵はどれですか。


1.     2.     3.     4.  

問(4)


聴解スクリプト:
4番 男の人と女の人が話しています。
女の人はテーブルと椅子をどう置くように言いましたか。
男:店長、今日のテーブルの配置はどうしますか。
女:そうね。
今日はパーティーだから、椅子は壁に沿って並べて。
男:はい。
女:テーブルは二列がいいわね。
あ、そうそう、受付作りたいって言ってたから、一つは入り口付近に置いといてくれる?受付の人のために椅子も二つぐらいそこに置いといて。
男性:はい、分かりました。
質問:女の人はテーブルと椅子をどう置くように言いましたか。


1.     2.     3.     4.  

問(5)


聴解スクリプト:
5番:女の人が話しています。
どの花瓶について話していますか。
女:あら、この花瓶すてきね。
丸みおびて、柔らかい感じで。
なで肩だから良いわね。
底広くて、安泰感もあるし、花が生けやすいわ。
質問:どの花瓶について話していますか。


1.     2.     3.     4.  

問(6)


聴解スクリプト:
6番:女の人と男の人と話しています。
今の得点を表しているのはどれですか。
女:あら、Aチーム負けてるじゃないわ。
男:うん、逆転されちゃったのよ。
女:さっきに一点取ってちゃったのに。
男:大丈夫、この調子でまたすぐ一点取って、追いつくよ。
女:でもAチームが勝つためには、少なくとも後2点取らないと。
男:良し、がんばって応援しよ。
質問:今の得点を表しているのはどれですか。


1.     2.     3.     4.  

問(7)


聴解スクリプト:
7番:女の人と男のひとがホテルで時刻表を見ながら話しています。
二人は明日どの電車に乗りますか。
女:ねえ、明日の朝、何時まで戸田駅に着けば良いの。
男:10時だよ。
女:じゃあ、この電車は良いわよ、10時10分前に着くこれ。
せっかく休み取ったんだから、できるだけ朝はゆっくりしたいし。
男:だめだよ。
明日は金曜だろう、この電車は平日は運転してないよ。
女:あ、本当。
じゃ、これ、この45分につく電車。
あ、これもだめだ。
この電車は中室駅は止まらない。
じゃ、これで行くしかないわよね。
男:そうだね。
質問:二人は明日どの電車に乗りますか。


1.     2.     3.     4.  

問(8)


聴解スクリプト:
8番:男の人と女の人が話しています。
女の人の猫は今どのような寝方をしていますか。
男:あ、お宅の猫、変わった寝方ですね。
女:そうでしょう。
いつのごろからか、良くあんな寝方するようになったのよ。
男:猫っていえば、たいてい丸くなるか横向きに寝るかだと思ってましたけど、 女:なんでも、あいうふうに仰向き、お腹を見せて寝るっていうのはしっかり気を許しているんからなんですって。
男:へえ、そうなんですか。
質問:女の人の猫は今どのような寝方をしていますか。


1.     2.     3.     4.  

問(9)


聴解スクリプト:
9番 次のニュースで天気について話しています。
正午の天気を現している図はどれですか。
正午(しょうご)です。
男:天気予報をお伝えします。
ご覧の画面は正午現在天気の分布図です。
名古屋は現在雪が降っていますが、この雪の範囲は早いスピードで東へ移動して、静岡は午後3時ごろから、東京も夕方までは雪が降り出すでしょう。
東京では気温が高めのため、湿ったな雪となり、傘が必要です。
これからお出かけの方はご注意ください。
質問:正午の天気を現している図はどれですか。


1.     2.     3.     4.  

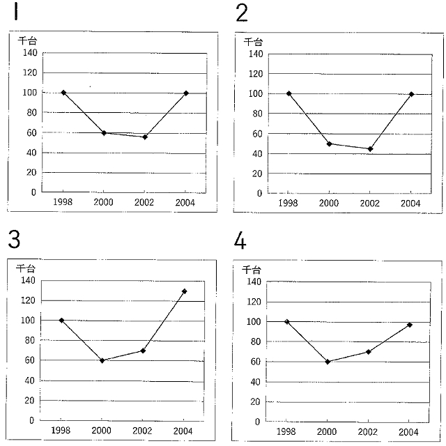
問(10)


聴解スクリプト:
10番: 男の人がカメラの販売台数について話しています。
正しいグラフはどれですか。
男:これはわが社のデジタルカメラの販売台数を示しています。
1998年に新製品を売り出した際、爆発的な販売数を記録しました。
しかし、その後、98年の販売数の半分までも行かないまでも、売り上げは大きく落ち込んでいきました。
幸い、2002年には若干回復 が見せ、2004年に至ってはもっとも多い時に匹敵できる数字となっています。
質問:正しいグラフはどれですか。


1.     2.     3.     4.  

問(11)


聴解スクリプト:
11番:男の人と女の人が窓の外を見ながら話しています。
二人が今見ている景色はどれですか? 男:この景色を一緒に見る人は、君をおいてほかにいないとおもっていたんだ。
女:うれしい、水に三日月(みっかつき)の光を反射して、とてもきれい。
男:うん、でもね、ここから見える満月はこれに勝る美しさだよ。
今は、三日月が手前の山の上当たりに見えるけど、満月のときは、向うの山の峠あたりから、水に全体を照らすだ、君にも絶対見せたいな。
女:それで、また来ようってこと? 男:満月の時にね。
質問:二人が今見ている景色はどれですか?

1.     2.     3.     4.  

問(12)


聴解スクリプト:
12番: 絵を示しながら、古代の女性の髪形を説明しています。
この時代の、結婚している一般の女性の髪形はどれですか。
女:これらの絵をご覧ください。
これは古代の婦人たちの髪型です。
髪を頭の後ろに束ねて、上に向いて止めたものは一般の結婚女性の髪形でした。
また、髪を二つに分けて下げ、小さい輪を作ったものは未婚の女性の髪形でした。
この時代は、身分は高いほど髪を長く伸ばすことは許されていましたので、束ねて、編んで、頭の周りにたくさん回したものは特別な人だけに許された髪型でした。
質問:この時代の結婚している一般の女性の髪形はどれですか。


1.     2.     3.     4.  

問(13)


聴解スクリプト:
13番:女の人と男の人はスーパーで話しています。
男の人はお勧めのカップラーメンを棚のどの位置に並べましたか。
女:山田君、カップラーメンの並べは終わった。
男:はい。
女:あら、目立つように棚の中央に並べてって言ったのに、お勧め商品なんだから、 男:あのう、商品の陳列について研究している本では、お勧め商品は中央のやや右側に置くのが良いと書いてあります。
それで、 女:どうして、 男:人の姿勢は左から右へ移動するんだそうです。
女:じゃあ、左端に置くほうがいいじゃないの。
男:お客様はたいてい棚の中央を見ますね。
だから、そこに今一番人気がある商品を置くんです。
その右にお勧め商品を置けば、目に付くというわけです。
女:へえ、じゃあ、それでしばらく様子を見て、売れなかったら、中央に並べ替えてください。
男:はい、分かりました。
質問:男の人はお勧めのカップラーメンを棚のどの位置に並べましたか。


1.     2.     3.     4.  

問(14)


聴解スクリプト:
14番:女の人とお店の人が話しています。
女の人は何を選びましたか。
女:すみません、2000円ぐらいでちょうど良いお使い物ありますか。
男:ええと、2000ですか。
2000だと、靴下とか、タオルとか、いかがでしょうか。
女:うん、タオルねえ、そういう残るものじゃないほうがいいです。
お祝いじゃないので。
男:そうですか。
じゃあ、お菓子とコーヒーのセットはどうですか。
女:嗜好品(しこうひん)はちょっと、普段からなれているものは好みがあるのでしょう。
男:うん、じゃ、どの家庭でも使える調味料や海苔などはどうですか。
女:うん、でも、先方のお家庭で健康にお気をつけていらっしゃるから。
男:じゃ、なくなるものでしたら、これなんかどうでしょう。
口に入るものじゃないので。
女:そうね。
それにするわ。
質問:女の人は何を選びましたか。


1.     2.     3.     4.  

問(15)


聴解スクリプト:
15番 男の人が電話で店の場所を聞いています。
その店はどのビルにありますか。
男:今郵便局のところまできたんです。
女:あ、そうですか。
では、郵便局のビルを背にして、大通りのところを見ていただくと、向かい側に高いビルがありますね。
男:はい。
女:そこはABC銀行なんですが。
男:あ、お宅はその隣ですね。
女:ええ、でも大通りに面していないので、そちらからは見えないかもしれません。
その銀行の横の道をちょっと入っていただくと、すぐ青いビルが見えます。
そこの3階です。
男:3階ですね、分かりました。
女:お待ちしています。
質問:その店はどのビルにありますか。


1.     2.     3.     4.  


問題Ⅱ 絵などはありません











問題 Ⅱ



  解 答 欄
Anwser Sheet
① ② ③ ④
正しい
正しくない
① ② ③ ④





このページはメモに使ってもいいです










問(1)

聴解スクリプト:
1番: 女の人と男の人が話しています。
男の人はどうして沖縄旅行に行かなかったのですか。
女性:あれ、友達と沖縄旅行に行ったんじゃなかったっけ。
男性:それが、結局行かなかったんだよ。
女性:へえ、どうして? 男性:始めは飛行機で行く予定だったんだけど、友達がお金がないというから、船で行くことにしたんだ。
女性:安いもんね。
時間はかかるけど。
男性:ところがちょうど出発する日に台風が来ちゃって。
女性:それじゃ、仕方ないよね。
男性:うん、残念だけどね。
その代わり、来週北海道に行ってくるよ。
質問:男の人はどうして沖縄旅行に行かなかったですか。
(1)友達に時間がなかったからです。
 (2)飛行機が飛ばなかったからです。
(3)船が出なかったからです。
     (4)北海道に行くからです。


1.     2.     3.     4.  

問(2)

聴解スクリプト:
2番:男の人が話しています。
この人は聞き返した時どのようにしてほしいと思っていますか。
男:あのうさあ、相手がいったことが分からなくて聞き返す時、ゆっくり言い直してくれるんじゃなくて、やたら大きな声で早口で言う人がいるって。
問題は声の大きさじゃなくて、速さなのに。
質問:男の人は聞き返す時どのようにしてほしいと思っていますか。
(1)聞き直してほしい。
  (2)ゆっくり言い直してほしい。
(3)簡潔に言ってほしい。
 (4)大きな声で言ってほしい。


1.     2.     3.     4.  

問(3)

聴解スクリプト:
3番:二人の女の人が昔の歌を聞きながら、懐かしがっています。
ダンスを覚えるのは速かったのはどうしてだって言ってましたか。
女A:この曲、よく踊りながら、歌ったわ。
歌はレコード聞いてすぐ覚えたわね。
ダンスも動きは速くて、激しくて、難しかったよね。
女B:うん、あの当時はビデオもなかったから、繰り返し見ることもできなかったし。
女A:歌番組を必ず見て、テレビ見ながら練習したよね。
女:ほんとう、あの時はよくするだけで覚えられたわね。
女:ほんとう、この年だったら絶対できないわ。
質問:ダンスを覚えるのは速かったのはどうしてだって言ってましたか。
(1)若かったからです。
       (2)ビデオがあったからです。
(3)レコードを聞いたからです。
  (4)動きは簡単だったからです。


1.     2.     3.     4.  

問(4)

聴解スクリプト:
4番:男の人が話しています。
歌の人気が出たきっかけは何ですか。
男:杉山バンドが結成されてから30年。
その間、CDを5枚出して、年に一度のコンサートも続けてきましたが、今20年ほど前に作った「朝」という歌は大ヒントをしています。
そのきっかけは去年あるラジオ番組でこの歌が流れたことです。
その後、若い人からのリクエストが増えているということです。
杉山さんご自身は今の人気について30年間頑張ってきてよかったと語っているそうです。
質問:歌の人気が出たきっかけは何ですか。
(1)若い歌手が歌ったことです。
  (2)ラジオ番組で曲が紹介されたことです。
 (3)コンサートを開いたことです。
  (4)「朝」という新しい曲を作ったことです。


1.     2.     3.     4.  

問(5)

聴解スクリプト:
5番:女の人はラジオで話しています。
この映画の主役はなぜ高校生に決まりましたか。
女:この映画の主役を選ぶため、昨日オーディションが行われ、300人も人が集まりました。
最初審査にはベテラン女優の赤野久美子や、若手個性派女優の山下由佳の名前が出て着ました。
しかし高校性の佐藤美香が演技には未熟とは言え、圧倒的な存在感を見せ、見事主役の座を得ました。
質問:この映画の主役はなぜ高校生に決まりましたか。
(1)ベテランだからです。
 (2)若いからです。
(3)演技がうまいからです。
 (4)存在感があるからです。


1.     2.     3.     4.  

問(6)

聴解スクリプト:
6番: 男子学生と女子学生は大学で話しています。
この男子学生の論文の提出が遅れた理由は何ですか。
男:ああ、僕の論文論文、とうとう締め切りに間に合えなかった。
女:ええ、どうして、実験がだめだったの? 男:いや、実験器具はね、もっと使い慣れていたのな。
女:それで時間かかったの? 男:うん、先生はお忙しいのに、よく論文指導してくださったし。
女:実験計画書もほめられたって、前言ってたものね。
男:そうなんだ、パソコンも古いけど故障も無かったし、ああ、あれさえうまくいっていったのな。
女:論文、間に合ってたのね。
質問:この男子学生の論文の提出が遅れた理由は何ですか? 1、実験に時間がかかったからです。
  2、パソコンが古くて、故障したからです。
3、実験器具が壊していたからです。
  4、実験計画書は書けなかったからです。


1.     2.     3.     4.  

問(7)

聴解スクリプト:
7番: 男の人と女の人が話しています。
男の人はお母さんが夕べ何をしたといっていますか。
男性:夕べ、おかしいことがあってね。
女性:どうしたの。
男性:家に遊びに来ていた友達を車で送っていくことになったんだけど、道がよく分からないから、地図を見ようと思って。
女性:うん。
男性:で、母に家に地図あるかって聞いたら「買ってあるわよ」って持ってきたのが何だと思う? 女性:世界地図か何か。
男性:いや、冷蔵庫からチーズ出してきたんだよ。
女性:え~へへ、本当? 男性:うちの母、時々こんな変なことするんだよ。
質問:男の人はお母さんが夕べ何をしたといっていますか。
(1)世界のチーズを買ってきた。
   (2)世界の地図を買ってきた。
(3)冷蔵庫からチーズを出してきた。
 (4)冷蔵庫から地図を出してきた。


1.     2.     3.     4.  

問(8)

聴解スクリプト:
8番:男の人が話しています。
男の人のお兄さんはどんな人だといっていますか。
男:うちの兄貴、うるさいんだ。
 うかつに嘱託に出せないよ。
「え、違うね、前のほうがいいな」と言われちゃうな、一口だけで、もう分かっちゃうらしいよ。
聞くほうも人だから、いろいろ細かいことも言うんだよ。
うるさい家族がいると、作るほうも大変だよ。
まったく。
あん。
質問: (1)話し声が大きい人です。
 (2)おしゃべりな人です。
(3)食器に詳しい人です。
  (4)味に敏感な人です。


1.     2.     3.     4.  

問(9)

聴解スクリプト:
9番: 男の人と女の人が話しています。
男の人の意見はどれですか。
男:へえ、今の小学生って、太陽が地球の周りを回っていると思っている子が多いって。
女:ええ、それって先生の教え方が悪いんじゃない。
男:いや、何年か前から小学校では地球が太陽の周りを回っていることを教えていないだって。
女:ええ、小学で教えないよ。
じゃ、そのほうが問題よ。
男:だけどね、そもそも太陽が動いているのを見えるのに、地球のほうが動いていることを理解するって、かなり難しいよ。
小学生へ教えるほうが問題だよ。
中学生で教えばいいじゃない。
女:それじゃ、子供は中学生になるまで、本当のことを教わらないことでしょう。
やっぱり良くないわよ、それ。
男:そうかな、僕はそうは思わないけど。
質問: (1)小学校で教えるほうがいい。
 (2)小学校で教えないほうがいい。
(3)小学校での教え方が悪い。
  (4)中学校での教え方が悪い。


1.     2.     3.     4.  

問(10)

聴解スクリプト:
10番: 男の人と女の人が電話で話しています。
男の人の説明とあっているのはどれですか。
女:あの、そちらの日曜アブライ教室をちょっと見学したいんですが、見学の場合も前もって申し込みが必要ですか? 男:いえ、次の日曜日に直接こちらにお越しいただいて、受付で見学希望とおっしゃってください。
ただし、見学ですと20分だけになります。
もし、一日体験入学の方をご希望でしたら、お電話でご予約を承ります。
見学は無料ですが、体験入学の方は2000円いただいております。
女:そうですか、授業は確か2時間ですよね。
男:はい。
女:じゃ、体験入学をお願いします。
質問:男の説明と合っているのはどれですか? (1)見学には2000円必要です。
(2)見学は授業の途中までしかできません。
(3)無料で体験留学することができます。
(4)体験入学に予約が要りません。


1.     2.     3.     4.  

問(11)

聴解スクリプト:
11番: 男の人と女の人が話しています。
男の人はどうして疲れているのですか。
男性:おはようございます。
女性:おはよう。
朝から元気がないわね。
飲みすぎ? 男性:いや、ものすごいラッシュで、もう身動きができないぐらいだったんですよ。
隣の人なんかかばんがドアに挟まってましたよ。
その状態で一時間。
もう~。
女性:何だ、そんなこと。
それならもっと早いのに乗ればいいじゃない。
ラッシュアワーの前の。
男性:早起きできれば苦労しませんよ。
質問:男の人はどうして疲れているのですか。
(1)お酒を飲みすぎたからです。
  (2)いつもより早く起きたからです。
(3)込んだ電車に乗ったからです。
 (4)かばんが挟まって動けなかったからです。


1.     2.     3.     4.  

問(12)

聴解スクリプト:
12番: 女の人は睡眠について話しています。
話の内容となっているのはどれですか。
女:睡眠は体と脳を休ませるために不可欠なものですが、いったい何時間寝ればいいでしょうか。
実際は適正な睡眠時間は人によって異なるんです。
6時間で適当な人もいれば、8時間でも足りないと感じる人もいます。
普段6時間の睡眠を習慣とする人が、このごろ疲れているから、今晩早く休もうといつもより早く布団に入ったりしても、なかなか寝付けず、かえって疲れるというようなことが起こります。
いい睡眠をとるためには、自分にとっての適正な時間以上布団に入らないことが大切です。
それで寝足りないと感じる場合は、30分の昼寝をお勧めします。
質問:話の内容となっているのはどれですか。
(1)人間にとって8時間は適当な睡眠時間だ。
(2)長く寝れば寝るほど体と脳の疲れが取れる。
(3)必要な睡眠時間には個人差がある。
(4)昼寝をすると、夜眠れなくなる。


1.     2.     3.     4.  

問(13)

聴解スクリプト:
13番: ラジオで交通情報を伝えています。
交通機関の状況は今どうなっていますか。
男:交通情報をお伝えします。
先ほどの北井町ほうの地震の影響で、飛行機の離着時間は若干遅れているが、大きな影響はありません。
ただ、空港と市内を結ぶ鉄道は線路の状況を調査中で、運転を見合わせています。
質問: (1)飛行機はほぼ平常どおりだが、電車は止まっている。
(2)飛行機は飛んでいないが、電車は動いている。
(3)飛行機も電車も動いている。
(4)飛行機も電車も動いていない。


1.     2.     3.     4.  

問(14)

聴解スクリプト:
14番: 男の人が話しています。
この人は出生率の低下の一番の理由は何だって言っていますか。
男:日本では今出生率の低下は問題となっています、女性の社会進出で結婚年齢が上昇したことや、未婚の女性が増加したことが原因だと言われています。
でも、若い時で結婚しても、子供が持たない夫婦も増えてきました。
子供を育てたには母親が仕事を持っているかどうかにはかかわらず、周囲の助けが必要です。
私は出生率の低下を抑えるためには、小さな子供を持つ親を社会全体で応援すす環境を作っていくことは何より必要だと考えています。
そういった仕組みが十分でないことこそ、子供育ての不安を招き、出生率の低下の原因になっているんじゃないでしょうか。
質問:この人は出生率の低下の一番の理由は何だって言っていますか。
(1)女性が社会で活躍になったこと。
 (2)女性の結婚年齢が上昇したこと。
(3)結婚しない女性が増加したこと。
 (4)社会全体で育児を支える仕組みが不十分なこと。


1.     2.     3.     4.  

問(15)

聴解スクリプト:
15番: 男の人は生活費について話しています。
この人の生活費はどのようになっていますか。
男:私の場合、一人暮らしのせいか、面倒になってよく外食するね、これが結構かかるんです。
でもそれ以上かかるのは電話代、外国生活は長かったので、友人はみんな外国に住んでいて。
たいしたことは無いのは、ガス、水道、電気代ですね。
仕事が終わって、寝るためだけに家に帰るものですから。
家賃は会社の寮ですから、ほとんどかからないです。
質問:この人の生活費はどのようになっていますか。
(1)一番かかるのは電話代で、次に食事代が続く。
(2)一番かかるのは電話代で、次にガス、水道、電気代が続く。
(3)一番かかるのは食事代で、次に電話代が続く。
(4)一番かかるのは食事代で、次に家賃が続く。


1.     2.     3.     4.