ÈÇÓ×ÅÍÈÅ ßÇÛÊΠ- ßÏÎÍÑÊÈÉ
STUDY LANGUAGES - JAPANESE

8. JLPT


Menu JLPT / 2003: JLPT-1 (N2-N1)
Japanese language proficiency test
016 - Task 1, 2
Listening comprehension

 
00:01
問題Ⅰ
このページはメモに使ってもいいです
例(1).


1.     2.     3.     4.  
問題 Ⅰ



解 答 欄
Anwser Sheet
① ② ③ ④
問1 ① ② ③ ④





例(2).

1.仕事と勉強     2.仕事と観光     3.観光と勉強     4. 仕事と勉強と観光   
問題 Ⅰ



解 答 欄
Anwser Sheet
① ② ③ ④
問1 ① ② ③ ④





問(1)


聴解スクリプト:
一番 女の人が鬼について話しています。
鬼はどんな顔をしていますか。
F:これはこの地方に伝わる鬼の顔です。
髪の毛は縮れ、頭に角があります。
目や鼻は大きく、耳はとがっています。


1.     2.     3.     4.  

問(2)


聴解スクリプト:
二番 男の人が服を着てみて、話しています。
どの服を着ていますか。
M:これはだめだ。
上はもうちょっと大きいといいのに、窮屈だ。
おまけに下はだぶだぶだ。


1.     2.     3.     4.  

問(3)


聴解スクリプト:
三番 お父さんとお母さんが荷物の持ち方について話しています。
お母さんは荷物をいくつ持ちますか。
F:荷物は全部で10個ね。
誰がどれを持っていくことにする?
M:かばんは、良雄と美智子が2つずつ持てるよな。

F:お父さん、お父さんがこの大きいのを背負って、そのほかに、この細いの、3つ持てるでしょう。
M:うん、大丈夫だよ。
そうするとお母さんは。




1.1つ     2.2つ     3.3つ     4.4つ  

問(4)


聴解スクリプト:
四番 女の人がセーターについて話しています。
女の人のセーターはどれですか。
F:このセーター、気に入って買ったんだけど、物がよくなかったみたいで、一度洗ったら、色が落ちて斑ができてしまいました。


1.     2.     3.     4.  

問(5)


聴解スクリプト:
五番:男の人が話しています、この地方ではどの発電をしますか。
M:これからの新しいエネルギーして、太陽電池や風力発電が期待されます。
しかし、太陽電池も風力発電も、設置する場所が大きいな問題となっています。
太陽電池は広い場所が、風力発電には安定した強い風の吹く場所が必要です。
そこで、わが社では海に着目しました、海に台を作り、その上で発電するのです。
で、次は、太陽と風のどちらにするかですが、この辺りでは、太陽の出ない日はあっても風の吹かない日はないので、こちらにすることにしました。


1.     2.     3.     4.  

問(6)


聴解スクリプト:
六番:男の人と女の人が話しています。
来週の打ち合わせは何曜日になりますか。
M:来週の打ち合わせの日ですけど、いつがいいですか。
F:えーと、私は月、水、金だったら、どれも大丈夫ですが。
M:僕は、水曜日、木曜日、金曜日以外だったらいいんですが。
F:あー水,木、金以外ですか、じゃあ、打ち合わせは。


1.     2.     3.     4.  

問(7)

聴解スクリプト:
七番:男の人と女の人が話しています。
男の人が、一番点が取れなかったと考えているテストはどれですか。
F:日本語のテスト、どうだった?
M:やっぱり昼間働いていると勉強する時間がなくって。


F:でも頑張ったかいはあったんでしょ?
M:文法はそれなりに点が取れたとおもうけど、長い文章の読みがね。
F:ああそう。
で、聴き取りと作文は?
M:うん。
それは思ったほど問題が難しくなかったから。


1.文法     2.聴解     3.読解     4.作文  

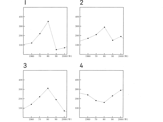
問(8)


聴解スクリプト:
八番 女人が話しています。
正しいグラフはどれですか。
F:これはみかんの収穫を示したグラフです。
みかんは最も収穫のあったころに比べると、現在では半分以下ですが、わずかながら、近年、増える傾向にあります。


1.     2.      3.     4.  

問(9)


聴解スクリプト:
九番 男の人と女の人が話しています。
どんな家を建てることになりましたか。
M:家も2階建てにして、庭がほしいな。
F:じゃ、車はどこに置くの?
M:うん。
じゃ、一階に車庫を造って,三階建ての家にするってはどう。
F:えー若いときはいいけど、年取ったら、三階建てはつらいわよ。
M:そうかあ。
庭はほしいなあ。



そうだ。
一階じゃなくて二階に庭を造るってのはどう?
F:えっ、どうするの?
M:車庫を家にくっつけて造って、車庫の上に庭を造るんだ。
F:じゃあ、三階建てにはしなくていいのね。
M:うん。
F:いいわね。


1.     2.     3.     4.  

問(10)


聴解スクリプト:
十番 男の人とお母さんが話しています。
お母さんはどう行きますか。
F:東京へは、どう行けばいいかなあ?
早く行かなくてもいいから、楽なほうがいいんだけどね。
乗換えが少なくて、座席がゆったりで。
M:じゃあ、ここから名古屋まで車に乗せていくから。


F:でも平日だから、それは遠慮しとくよ。
お前も仕事があるだろ。
M:それじゃあ、電車とバスを乗り付いで名古屋に出て、それから新幹線に乗るのがいいかな。
あ、違うか。
もうそっちへ行くバスは廃止だ。
んー、じゃあ、静岡までバスでいって、そこから新幹線。
それなら楽だろう。
F:そうだねえ。
そうしょうか。


1.     2.      3.     4.  

問(11)

聴解スクリプト:
十一番 テレビの売り場で女の人とお店の人が話しています。
女の人はいくら払わいますか。
F:これにします。
M:毎度ありがとうございます。
えー、こちらのテレビは25000円ですが、今日は特別お安くして20000円です。
税金が1000円かかりますので21000円になります。
ところで、いまお使いのテレビはどう胜丹い蓼工¥Δ沥腔貐Ã筏蓼筏绀Δ?
br>F:ええ。
お願いします。
M:はい、回収のために1000円いただきますが、よろしいですか。
F:ええ、そういう決まりなら仕方ないですね。
で、配達はお金かかりますか。
M:ええ、通常は、1件につき500いただいておりますが、これはサービスさせていただきます。


1.21000円     2.21500円     3.22000円     4.22500円  

問(12)


聴解スクリプト:
十二番 女の人が男の人と電話で話しています。
男の人の事務所はどこですか。
M:ええと、駅からですと。


駅の前の大きな道にそって進んでください。
F:はい。
M:しばらく行くと左側に大きい本屋があります。
F:えー、あっはい、あります。
M:その向かい側の細い道を入ってください。
F:角にスーパーがあるところですか。
M:いえ、その1つ手前の道です。
その道を入って行くと花屋があるんです。
F:花屋ですか。
M:はい。
私の事務所はその次の交差点の。
F:はい。
M:手前にあるんですが。



F:手前ですね。
M:はい。
F:わかりました。


1.     2.     3.     4.  

問(13)


聴解スクリプト:
十三番 男の人と女の人が引っ越しの荷物についてはなしています。
箱は全部でいくつになると言っていますか。
M:荷物はどのように入れましょうか。
F:まず、引っ越してからすぐに使うものはここの分けておいたから、それだけで1箱作ってほしいのよ。
M:はい、わかりました。
あとのものはどうしましょうか。
F:そうねえ、本は全部一緒に入るかしら。
M:はい、大丈夫ですよ、一緒にして1つ作りましょう。
F:そうしたら、あとは、食器を1つに。
M:あ、食器はかさばるから2つにしましょう。
F:そうね。
じゃあ、あとは衣類と靴ね。
M:そうですね、それはあまりないから、1つの箱でいいですか。
F:いいですよ。
じゃあ、お願いします。


1.     2.     3.     4.  

問(14)


聴解スクリプト:
十四番 女の子とお母さんが、あさ、話しています。
家を出るとき、女の子の制服はどんな状態ですか。
家を出るときです。
F1:お母さん、上着のボタンが取れたの。
つけてくれる?
F2:ボタンくらい、自分でつけられるでしょ?
F1:あーん、時間がないの。
お願い。
F2:しょうがないわね。
F2:ほら、できたよ。
F1:ありがとう。
あ、袖のボタンも取れてる。
F2:もう!時間がないから、今日はそれで行きなさい! F1:はーい。


1.     2.     3.     4.  

問(15)


聴解スクリプト:
十五番:男の人と女の人が話しています。
この人たちが今いるところの絵はどれですか。
M:あれ、この道、前こんなんじゃなかったよね。
F:そう、最近、道の幅を広げる工事がやっと終わってね。
M:ふーん。
F:車が両方の方向に走れるようになったのはいいけど、うるさくなったわねえ。
M:そう。
で、以前ここにあった川は?
F:埋めちゃったの。
M:えっ。
水が澄んでて、魚もいたのにな。
F:前は車も一方にしか走れなかったから、静かで安全だったのに。


1.     2.     3.     4.  

問(16)


聴解スクリプト:
十六番 男の人と女の人が話しています。
男の人の会社のマークはどれですか。
F:田中さんの会社のマーク、面白いデザインですね。
M:ああ、これ?
もともとうちの会社は3つの会社を統合してできたんだ。
だから、すこしずつ重なってる3つの輪はあるんだ。
F:へえ。
M:でも、その3つが、そのまま1つの会社の中でそれぞれ得意分野を伸ばして発展していくようにと、それぞれの円から外に向かって矢印が書いてあるんだ。
F:ああ、そうなんですか。
面白いですね。


1.     2.     3.     4.  

問(17)

聴解スクリプト:
十七番 女の人が、家から中村駅までの行き方について、話しています。
女の人は、月曜日から金曜日までどうやって行きますか。
M:いつもどこから電車に乗るんですか。
F:中村っていう駅からが一番便利なんです。
そこまでは土曜、日曜は、道路が空いているので、バスや車で15分で行けるんですよ。
M:そうですか。
F:でも平日は、朝、道路が込んでいて、時間の予測ができないんですよ。
それで、土、日以外は、家から一番近い山田駅まで30分ぐらい歩いて、そこから、電車で中村駅までいきます。
M:自転車は使わないんですか。
F:山田駅まで自転車でいったこともありましたが、帰りは中村駅からバスで家に帰りたいから、自転車はやめました。
M:はあ。
F:やっぱり、今のところ、これが一番いいようです。
本当は、中村駅までバスでいければ一番いいんですが。


1.家→歩く→山田駅→中村駅     2.家→自転車→山田駅→中村駅     3.家→バス→中村駅     4.家→歩く→中村駅  


問題Ⅱ 絵などはありません











問題 Ⅱ



  解 答 欄
Anwser Sheet
① ② ③ ④
正しい
正しくない
① ② ③ ④





このページはメモに使ってもいいです










問(1)

聴解スクリプト:
一番 男の子が話しています。
お兄さんは何と言ったのですか。
M:この間日曜日、お兄ちゃんね、部屋を片付けようって言われたと思って、片付け始めたんだ。
でも、いつまでたってもお兄ちゃんが来ない。
それで、1人で全部片付けて、終わってからどうしたのって聞いたら、ぼくは“部屋を片付けろ”って言った、って言うんだ。
あーあ。
お兄さんは何と言ったのですか?
                        1 一緒に部屋を片付けよう                         2 部屋を片付ける                         3 部屋を片付けるな                         4 部屋を片付けなさい

1.     2.     3.     4.  

問(2)

聴解スクリプト:
二番 女の人が妊娠している人のスポーツについて話しています、女の人は妊娠とスポーツについて、どういっていますか。
F:このごろおなかの大きい人がよく水泳などのスポーツをしている。
スポーツ施設があちこちにできて、誰でも気軽にスポーツを楽しめるようになったが理由の1つでよううね。
人によっては、妊娠している人はスポーツを控えるべきだと言う考えもありますが、私は、妊娠しているからといってスポーツをやめなければならない理由はないと思います。
女の人は妊娠とスポーツについて、どういっていますか。
                                                 1      妊娠している人は、スポーツを楽しめない。
                        2      妊娠している人は、スポーツを必ずするべきだ。
                        3      妊娠している人も、スポーツをしてもかまわない。
                        4      妊娠している人は、スポーツを控えるべきだ。


1.     2.     3.     4.  

問(3)

聴解スクリプト:
三番 男の人と女の人が話しています。
男の人が先生に貸したものは何ですか。
男の人が先生に貸したものです。
F:このお菓子どうしたの?
M:この間、突然雨が降ったとき、田中先生に傘をお貸ししたら、お礼にくださったんだ。
F:へえ、よかったね。
M:うん。
先週 京都で国際会議があったとき、買ったお土産だって。
F:へえ?
何の会議?
M:ほら、これだよ、世界環境会議。
この資料も貸してくださったし、参考書もかしてくださったんだ。
男の人が先生に貸したものです。
                        1 お菓子です                         2 資料です                         3 参考書です                         4 傘です

1.     2.     3.     4.  

問(4)

聴解スクリプト:
四番 男の人が現代医療について話しています。
これからの医療について何が一番重要だと言っていますか。
M:現代医療は科学の進歩とともに、技術的には不可能なことがなくなったように見えます。
と同時に道徳の根本にかかわるような、危険な課題も多数抱えるようになりました。
今、私たちに最も求められているのは、たとえ技術的には可能であっても、道徳に反するような欲望の実現をあきらめることではないでしょうか。
これからの医療について何が一番重要だと言っていますか。
                        1 不可能な技術をなくすることです。
                        2 技術の可能性を広げることです                         3 欲望の実現をあきらめないことです                         4 道徳に反しないことです。


1.     2.     3.     4.  

問(5)

聴解スクリプト:
五番 男の人と女の人が話しています。
今日はどんな天気ですか。
F:あら  .山田さん、帰ったんですか。
M:はい、足が痛むって早くかえりました。
F:ああ、前に怪我したところですか。
寒さがつづくとよくないって言っていましたからね。
M:ええ、このごろ暖かい日が続いていたけれど、今日はね。
それに、雨もよくないらしいんですよ。
F:ああ、降りそうですもんねえ。
大変ね。
M:ええ。
今日はどんな天気ですか。
                        1晴れで暖かいです。
                        2雨で寒いです。
                        3曇りで寒いです。
                        4曇りで暖かいです。


1.     2.     3.     4.  

問(6)

聴解スクリプト:
六番 男の人がラジオで話しています。
新しい目覚まし時計はどんなものですか。
M:今、いろいろな目覚まし時計がありますねえ。
だんだん音が大きくなるものとか、5分おきに鳴るものとか。



今日は、新しいタイプの目覚まし時計をご紹介したいと思います。
ある会社の新製品です。
その会社の実験によると、人は音で起こされるよりも光で起こされるほうが起きたとき気分がいいそうです。
それも 突然明るくいうのではなく、だんだん明るくするほうがいいという結果だったそうです。
その実験結果をもとに新しい製品を作ったんですが、最後に、起きる時間を知らせるためにベルも鳴るようになっているんだそうです。
新しい目覚まし時計はどんなものですか。
                        1突然強い光がでる                         2光がだんだん強くなり、最後にベルがなる。
                        3ベルが5分おきになる。
                        4ベルの音がだんだん大きくなる。


1.     2.     3.     4.  

問(7)

聴解スクリプト:
七番 男の人と女の人が部屋について話しています。
男の人は部屋がすっきりしている一番の理由は何だといっていますか。
F:すみません、おじゃまします。
M:あ、どうぞ。
F:まあ、きれいな部屋。
すっきりしていますね。
この戸棚!こんなおおきな戸棚があるから片付くんですね。
M:いやあ、それもあるけど、それより大切なことはものを持たないことなんですよ。
F:ああ、そうですか。
私もいろいろ思いきって捨てていますが、でも、まだ、片付かないんです。
M:うん、ちょっと違うんですよね。
私は捨てるんじゃなくて、最初から持たないんです。
F:はあ?
持たない?
M:片付けるための道具がいろいろありますよね。
そういうものを売っている売り場にはいかないことにしてるんです。
男の人は部屋がすっきりしている一番の理由は何だといっていますか。
                        1大きな戸棚があるからです                         2思い切って捨てるからです。
                        3物を買わないからです。
                        4片付けるための道具を使うからです。


1.     2.     3.     4.  

問(8)

聴解スクリプト:
八番 女の人が、企業の倒産の数について話しています。
先月の倒産は昨年の同じ月に比べて、どうなりましたか。
F:先月の従業員1000人以上の企業の倒産件数は357件で、昨年の同じ月に比べて7パーセント減りました。
しかし、会社1件あたりの負債額は平均で2億円と、15パーセントほど増えました。
これは、大型の倒産が相次いだことによります。
先月の倒産は昨年の同じ月に比べて、どうなりましたか。
                        1件数も負債額も減った。
                        2件数は減ったが、負債額は増えた。
                        3件数は増えたが、負債額は減った。
                        4件数も負債額も増えた。


1.     2.     3.     4.  

問(9)

聴解スクリプト:
九番 2人の男の人が話しています。
新しいアルバイトの人はどんな人ですか。
M1:今度のアルバイトのやつどうだい?
M2:うん、すごく飲み込みが早くて要領がいいんだ。
目から鼻へ抜けるような、というのはあんなやつのことを言うんだろうな。
M1:へえ、そりゃ良かったね。
M2:ただ、なんていうか、あいつ、なれなれしいんだ。
“課長、元気?
”なんて言いながら、肩たたいてきたりするんだ。
新しいアルバイトの人はどんな人ですか。
                        1頭がいいが、礼儀正しくない。
                        2頭がよくて、態度もいい。
                        3頭が悪いが、仕事がはやい。
                        4頭が悪いが、愛想がいい。


1.     2.     3.     4.  

問(10)

聴解スクリプト:
十番 女の人が話しています。
この人の娘さんはこの女の人を今どう呼んでいますか。
F:娘に子供ができたんです。
若いくてね。
でも、こどもが生まれたとたん、主人や娘まで私のことを“おばあちゃん”って呼ぶようになったんです。
私はまだ45歳なのに。


私には美智子っていうちゃんとした名前があるのに、誰も“みちこさん”て呼んでくれないんです。
“大きいママ”だから“大ママ”でも呼んでもらおうかとはなしたりしているんですが。
まあ、私も娘のことを“お母さん”なんて呼んでますから、しょうがないのかもしれませんね。
この人の娘さんはこの女の人を今どう呼んでいますか。
                        1お母さん                         2おばあちゃん                         3大ママ                         4美智子さん

1.     2.     3.     4.  

問(11)

聴解スクリプト:
十一番 男の人と女の人が話しています。
だれがだれを送っていきますか。
M:あっ、鈴木さん。
F:なに。
M:先生がね.. F:うん。
M:あしたアリさんを空港まで送って行ってくれないかって。
F:アリさんなら吉田君に送ってもらうことになってるって。
M:あ、それならよかった。
先生にも言とくよ。
だれがだれを送っていきますか。
                        1先生がアリさんをおくって行きます。
                        2鈴木さんがアリさんを送っていきます。
                        3吉田さんがアリさんを送っていきます。
                        4アリさんが吉田さんを送っていきます。


1.     2.     3.     4.  

問(12)

聴解スクリプト:
十二番 男の人と女の人が話しています。
みかんの木の下に白いシートを使うのは何のためですか。
F:ねえねえ。
みかんの甘さと雨の量が関係あるって知ってた?
M:へえー知らない。
F:農家では白い布みたいなのをしいて、雨から土を守って、乾いた状態にしておくんだって。
M:それ、黒いビニールのシートじゃないの?
F:黒いのはね、土の温度を一定にしたり、水分を保ったり、草が生えないようにしたりするためなんだけど、白いのは目的が違うって書いてあったわ。
M:そうなのか。
みかんの木の下に白いシートを使うのは何のためですか。
                        1土の温度を保つためです。
                        2土の中の水分を保つためです。
                        3土に草が生えないようにするためです。
                        4土を乾燥した状態にしておくためです。


1.     2.     3.     4.  

問(13)

聴解スクリプト:
十三番 男の人と女の人が話しています。
今度開発されたロボットはどんなときに役立ちますか。
F:これ何のロボットですか。
M:地震や火山噴火の被害者を救うためのロボットです。
私たちは、もともとは、トンネル工事のためのロボットの技術をもっていたんです。
F:はあ。
M:そしてすねん前からその技術を使って、地震や火山噴火の際の救助ロボットを作るようになったんです。
F:じゃ大雨や洪水でも大丈夫ですか。
M:いえ、このロボットはそれにはちょっと弱いんです。
将来的には台風の際の救助ロボットも開発したいと思っているんですが。
F:ああ、そうですか。
今度開発されたロボットはどんなときに役立ちますか。
                        1トンネル工事のとき                         2火山の噴火のとき                         3洪水のとき                         4台風のとき

1.     2.     3.     4.  

問(14)

聴解スクリプト:
十四番 お父さんとお母さんがバス料金のお知らせを見て、話しています。
この人たちは子供の料金をどのようにはらいますか?
M:さあ、バスに乗るぞ。
F:ちょっと、お父さん、バス料金の改定だって。
M:へえ。
“子供の料金は、大人一人につき、子供一人が無料となります。
2人目のお子さんからは、子供料金をお支払い願います。
”って書いてある。
改定前は、大人が一人いれば、子供は何人でも無料だったのにね。
F:そう、じゃ、子供二人つれて乗っても、一人しか無料にならないのね。
今日はお父さんと私とそれから子供たち3人だから。



この人たちは子供の料金をどのようにはらいますか?
                        1子供一人分払います。
                        2子供二人分払います。
                        3子供三人分払います。
                        4子供料金を払いません。


1.     2.     3.     4.  

問(15)

聴解スクリプト:
十五番 女の人が話しています。
この人はごみ問題についてどう思っていますか。
F:プラスチックの再生の考えがこのごろ受け入れられてきました。
ごみをカン、ビン、プラスチックなどに分けて出すことに、皆よく協力してくれています。
ところが、最近私は、この再生と言うのには問題があると思うようになりました。
なぜなら、ごみ全体の量は減っているのにプラスチックのごみが、ここ数年でひどく増えているからえす。
みんな、どうせ再生されるからかまわないと考え、プラスチック製品をより多く使うようになったからだと思います。
この人はごみ問題についてどう思っていますか。
                        1プラスチックのごみが減ってよかった。
                        2ごみ全体の量が増えているのは困る。
                        3プラスチックのごみが増えているのは困る。
                        4人々がプラスチック製品をたくさん使うのは良いことだ。


1.     2.     3.     4.  

問(16)

聴解スクリプト:
十六番 女の人が話しています。
この人は若い人が使う言葉についてどのように言っていますか。
F:このごろ、若い人が使う言葉ってわからないわね。
テレビを見ていても、途中で話がわからなくなっちゃうことがあるんですよ。
この前なんかね、大学生の孫と一緒にテレビを見ていて“これどんな意味”って聞いたら、なんと孫もはっきりは分かったんですよ。
  私よりは、ましなのかもしれませんけどね。
この人は若い人が使う言葉についてどのように言っていますか。
                        1誰が聞いてもぜんぜん分からない。
                        2誰が聞いてもだいたい分かる。
                        3若い人たちなら全部分かる。
                        4若い人たちでさえ分からないことがある。


1.     2.     3.     4.