ÈÇÓ×ÅÍÈÅ ßÇÛÊΠ- ßÏÎÍÑÊÈÉ
STUDY LANGUAGES - JAPANESE

8. JLPT


Menu JLPT / 2002: JLPT-1 (N2-N1)
Japanese language proficiency test
016 - Task 1, 2
Listening comprehension

 
00:01
問題Ⅰ
このページはメモに使ってもいいです
 
例(1).


1.      2.     3.     4.  
問題 Ⅰ



解 答 欄
Anwser Sheet
① ② ③ ④
問1 ① ② ③ ④





例(2).

1.仕事と勉強      2.仕事と観光     3.観光と勉強     4. 仕事と勉強と観光   
問題 Ⅰ



解 答 欄
Anwser Sheet
① ② ③ ④
問1 ① ② ③ ④





問(1)


聴解スクリプト:
一番 問題 男の人が話しています。
强盗はどんな顔をしていますか。
男:昨日形山銀行を襲った男の写真が公開されました。
犯人は細長い顔で、あごが   とがって、まゆが太く、右の頬に傷あとがあります。


1.      2.     3.     4.  

問(2)


聴解スクリプト:
二番 問題 男の人が女の人と話しています。
本はどのようになりますか。
男:今度の本ね、写真が多いけど、どうしょうか。
女:うーん、写真集を、別にするってのはどうかしら。
男:そりゃいいね。
すると写真は大きいのが多いから、写真集は大きいサイズにしたいね。
女:そうね。
文章のかたと、大きいさを別にしちゃう?
男:うーん。
いっそ文章のほうも、写真集の大きさに揃えちゃおうか 女:そうしましょう。


1.      2.     3.     4.  

問(3)

聴解スクリプト:
三番 問題 先生と生徒がクラスの作文集について話しています。
あと、何となにがたりませんか。
先生:これで原稿はみんなそろった?
生徒:あとは山田さんのだけです。
先生:表紙と目次はできてる。
生徒:表紙は吉田さんがきれいな絵を描いてくれましたが、目次はこれからです。
先生:ページはつけた?
生徒:はい、だいじょうぶです。


1.全員の原稿と表紙      2.一人の原稿と目次     3.表紙と目次     4.目次とページ  

問(4)


聴解スクリプト:
四番 問題 二人の女がはなしています。
お風呂はどうなっていますか。
女1:お風呂に黴が出て困ってるんです。
女2:毎日窓、開けてる?
換気が一番よ。
女1:窓があればねえ。

ドアは開けっぱなしにしてるんですけど。
女2:どのあたりがひどいの。
女1:天井 女2:ああ、天井じゃなかなか掃除もできないわね。
女1: そうなんですよ。


1.      2.     3.     4.  

問(5)


聴解スクリプト:
五番 問題 男の人と女の人が皿のはなしをしています。
皿はどんな状態ですか。
男:おっと、あぶない、もう少しで真っ二つになるところだったよ。
女:ほんと、危なかったわねえ。


1.      2.     3.     4.  

問(6)


聴解スクリプト:
六番 問題 女の人が話しています。
体はどんな形になりますか。
女:皆さんはおはようございます。
今日も元気よく体を動かしましょう。
まず準備運動です。
右手を頭の後ろに回して、左の肩に置いてください。
左手は腰に、左足を前にして 体重をかけます。
いいですか。


1.      2.     3.     4.  

問(7)


聴解スクリプト:
七番 問題 男の人が女の人と話しています。
いま部屋はどうなったいますか。
女:部屋の雰囲気は変わったけど、前のほうが。

男:おいおい、ベッドを中央にするっていったのは、君だぜ。
女:でもなんだか、おちつかなくって。
それに椅子が二つあるのに、ソファ何か買うんじゃなかった。
男:まあ、そう言うなよ。
しばらくこれでやっていこうよ。


1.      2.     3.     4.  

問(8)


聴解スクリプト:
八番 問題 男の人が女の人と話しています。
二人はどのように会議室を設定することにしましたか。
男:あー、これじゃ、まずいな。
女:どうして?
男:だって今日はうちの社長がそれぞれの会社の人を紹介するわけだから。
女:だから丸くして雰囲気を和らげようと思って 男:今日重要なのは,仕事上の相手を確認することだから。
女:そうかあ。
じゃあ、向かい合う形でそれぞれの会社の人に座ってもらうほうがいいのね。
男:うん 女:じゃあ社長の机の間に入れて、左右にそれぞれの会社の人に座ってもらうようにする?
男:うん そうしょう。


1.      2.      3.     4.  

問(9)

聴解スクリプト:
九番 問題 女の人がはなしています。
この地域の樹木にとって何がよくないといっていますか。
女:えーこの地域では過去50年間、気温などには大きな変化がなく、安定した環境だといえます。
しかし、三年前に幹線道路が開通してからというもの、大型車が起こす振動が、樹木の生長に悪影響を及ぼしていると考えられます。


1.雨      2.空気のよごれ     3.ゆれ     4.きむさ  

問(10)


聴解スクリプト:
十番 問題 写真館で家族写真を撮っています。
どんな写真ができましたか 男:じゃ ちょっとすみません。
後ろの赤ちゃんを抱いてるお母さん、前の方と替わってください。

ええ、そうです。
それから。

そこの坊や、おばあちゃんと替わってたちましょう。
はい、それじゃ、とりまーす。


1.      2.      3.     4.  

問(11)

聴解スクリプト:
十一番 問題 男の人が女の人と話しています。
女の人は结局现金をいくら使いましたか。
女:きのうcdプレーヤーを買いに行ったら、お店が10000円引きセールをやってたの。
男:へえ。
 それでいいのあった?
女:うん。
60000円のだったの。
だから10000円引きで50000円。
男:そりゃよかったね。
女:それからね。
お買い上げのお客様用のくじ引きセールもあったの。
で、くじ引いたら、見事30000円の割引券があたっちゃって。
男:すごい ついてたね。


1.5万円     2.4万円     3.3万円     4.2万円  

問(12)


聴解スクリプト:
十二番 問題 男の人が話しています。
どの図が正しいですか。
男:はじめに線ABに平行な線を書きます。
そして、2本の線に直角に交わる線を2本の線の真ん中を通るように引きます。

あっそこの方、ななめじゃありませんよ。


1.      2.     3.     4.  

問(13)


聴解スクリプト:
十三番 問題 男の人が川本さんに話しています。
荷物はだれが受け取りますか。
ソン:すみません、川本さん 川本:あら、ソンさん こんにちは ソン:あのう すみません。
あした、荷物が届くことになってるんですけど、あしたはいないんで。

受け取ってもらえませんか。
川本:あっそう。
でも、午後からちょっと出かけるんだけど。


ソン:そうですか、どうしょうかな。
川本:じゃ、いいわ。
朝荷物が届かなかったら、山口さんに頼んどいてあげるから。
ソン:すみません

1.      2.     3.     4.  

問(14)


聴解スクリプト:
十四番 問題:男の人が女の人と話しています。
絵はどうなりますか。
女:あらっ、ちがうわ。
あの、ちょっと 男:はい。
何か。
女:あの絵。
掛け方が間違えってるわね。
男:はっ。
そうですか。
すみません。
逆にまなんですか。
女:うん 90度回して。
男:ええと、こっちにこうですか。
女:いいえ。
そうじゃなくて。
右回り、ええと、時計のまわるほうに90度回して。
男:こうですか。
女:そうです

1.      2.     3.     4.  

問(15)


聴解スクリプト:
十五番 問題:二人の女がはなしています。
生け花はどうなりましたか。
女1:きょうはお客様がいらっしゃるから、これ、生けかけてちょうだい。
女2:はい、そうですね。


松なんか。

いかがでしょうか。
女1:松はちょっと地味じゃない。
女2:そうですか。
じゃあ、紅葉はどうでしょうか。
女1:いいわね。
いいのがある。
女2:はい、お花はどんなのをあわせましょうか。
女1:おはなねえ むずかしいわね。
女2:じゃあ、緑の葉なんかどうでしょう。
濃い色の。

女1:そうねえ。
1つの色じゃなくて。
濃さの違うのを2つ組み合わせるともっと紅葉がきれいに見えんじゃない。
女2:そうですね。
じゃあ 早速。


1.      2.     3.     4.  

問(16)


聴解スクリプト:
十六番 問題 駅のアナウンスを聞いてください。
大阪へ行く人はどうしたらいいですか。
大阪です。
男:本日は新幹線をご利用いただきあるがとうございます。
台風19号の影響で、新幹線は運転不可能となりました。
これより先へお越しのお客様にご案内致します。
名古屋におこしのお客様はバスをご用意いたしております。
京都へお越しのお客様は、まだ京都鉄道が動いておりますのでご利用ください。
大阪までお越しのお客様は、当駅近くにホテルをご用意しておりますので、そちらにお泊りください。
そのほかの地域へお客様は、待合室でお待ちください、どうぞよろしくお願いいたします。


1.      2.     3.     4.  

問(17)


聴解スクリプト:
十七番 問題:女の人が話しています。
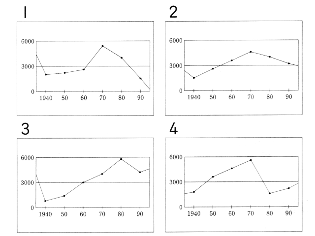
正しいグラフはどれですか。
女:国際電報の利用件数は1940年にはおお幅に落ち込みましたが、その後年年回復し、1970年には最大値を記録しました。
しかしその後、再び減少し、1990年には、1940年をさらに下回っています。


1.      2.     3.     4.  


問題II絵はありません。











問題 Ⅱ



  解 答 欄
Anwser Sheet
① ② ③ ④
正しい
正しくない
① ② ③ ④





このページはメモに使ってもいいです










問(1)

聴解スクリプト:
一番 問題 男の人が女の人と話しています。
学生たちはなぜ笑いましたか。
男:今日は学期の最初の授業だったんだけと、ある学生が“先生、かみが変です。
”って言うんだよ。
女:えっ?
男:びっくりして、頭に手をやったら、学生たちが笑うんだよ。
ハハ、それでわかったのさ。
かみと言っても、プリントの意味だったんだよ。
1     男の人の髪の毛が、変だったからです。
2     プリントが変だったからです 3     男の人が、プリントを落としたからです。
4     男の人が、プリントと髪の毛を間違えたからです。


1.      2.     3.     4.  

問(2)

聴解スクリプト:
二番 問題 男の人が話しています。
会社はなにがわかっていますか。
男:いったい会社は何を考えているんだろう。
今回の事故に対する会社の対応はなっていないよ。
事故の原因はおろか、実態さえ把握していない。
1     原因はわっかているが、実態はわかっていない 2     原因はわっかていないが、実態はわかっている 3     原因も実態もわかっている 4     原因も実態もわかっていない

1.      2.     3.     4.  

問(3)

聴解スクリプト:
三番 問題 2人の女の人が話しています。
吉岡さんはギターがどのくらいうまいですか。
女1:吉岡さんのギター、聴いたことある?
女2:うまいの?
女1:ちょっとしたもんらしいわよ。
女2:プロ並みなの?
女1:うん。
1 とてもまい 2 ままうまい 3 人並みくらい 4 ちょっとうまい

1.      2.     3.     4.  

問(4)

聴解スクリプト:
四番 問題 男の人が女の人と話しています。
女人はなぜ遅くなりましたか。
男:遅くかったですね。
女:この地図、おかしいですよ。
おかげで迷っちゃいましたよ。
男:そう?
女:ほら、駅の北口を出て、すぐみたいにみえるでしょ?
男:うーん、 女:人に聞いてもわからないって言うし、電話で聞きながら,やっときましたよ。
男:ちょっとこれ、別の地図じゃないですか。
女:ええっ。
男:見てくださいよ、駅の名前。
人に聞いても分からなかったわけですよ。
  1 地図の書きかたが悪かったからです 2 別の地図をもっていたからです 3 人に聞かなかったからです 4 降りる駅を間違えたからです。


1.      2.     3.     4.  

問(5)

聴解スクリプト:
五番 問題 男の人が女の人と話しています。
誰が誰に電話しますか。
男:あっ、鈴木さん 鈴木:なに 男:さっき、先生がね。

鈴木:うん 男:明日のこと,たむさんに電話しといてくれって 鈴木:うん、わかった。
かけとくわ。
1 先生がたむさんに電話します 2 先生が女の人に電話します 3 女の人がたむさんに電話します 4 女の人が先生に電話します

1.      2.     3.     4.  

問(6)

聴解スクリプト:
6番 問題  男の人が女の人と話しています。
男の人はどうして遅れそうになりましたか。
男:おはよう、はあ 疲れた 女:あと10分で試験始まっちゃう 男:えんぴつ、忘れちゃってね。
このすぐ近くまで来て気がついてね。
はあーうちにとりに行ってきたんだ。
女:そう。
うちが近くてよかったね。
ほかに忘れ物がない。
男:ええと、時計、消しゴム,弁当もあると。

きみが余裕だね 女:うん、こっちも電車が遅くちゃって、はらはらしちゃった。
早めに出たのに 1 時計を忘れたからです。
2 うちに一度もどったからです。
3 電車が遅れたからです 4 うちが遠いからです

1.      2.     3.     4.  

問(7)

聴解スクリプト:
七番 問題 男の人が新型ロボットについて説明しています。
この新しいロボットが今できないないことは何ですか。
男:えー今から新型ロボットのご説明をさせていただきます。
このロボットは食事を運んだり、掃除したり、ドアを開けたりできるので、病院でお役に立つことは間違いないと思います、歌を歌とか、話しかけられたら答えるとか、そんな風に患者さんたちに喜んでいただけるようにするのが、今後の目標です。
1 食事を運ぶことです 2 歌を歌うことです 3 ドアを開けることです 4 掃除をすることです

1.      2.     3.     4.  

問(8)

聴解スクリプト:
八番 問題 男の人と女の人が話しています。
男の人は杉田さんについてどのように考えていますか。
男の人です。
女:お隣の杉田さんが警察につれていかれたんですって。
男:やっぱり 女:上司に言われて仕方なくだったんだってね。
男:いや、そうは言うけどねえ。
女:組織のなかじゃ、しょうがなかったんじゃない?
男:いや、上司にいわれてやったことであるにせよ、やったのは彼だからね。
女:そうかなあ。
男:まあ、立場上、思い悩んだとは思うけどね. 女:会社って上司に逆らえないんじゃない?
あなたも気をつけてよ。
1 上司に言われた事ではあるが責任はある。
2 上司に言われたことなので仕方がない 3 上司に言われて悩んでいただけである。
4 上司に言われたことをするのは当然だ。


1.      2.     3.     4.  

問(9)

聴解スクリプト:
九番 問題 男の人が話しています。
男の人はどんなランニングの計画をたてましたか。
男:健康のために走るって決めたのはいいけど、一週間に50キロはしるっていうのはちょっとたかすぎたかな、目標が。
ま、でも、一日10キロなら、土日がやすめるか。


でも、毎日走った方がいいんだろうな。
月曜、火曜は10キロで、後はちょっとずつ5日で30キロなら一日6キロか。
そうするか。
1 毎日同じ距離を走る 2 土曜、日曜だけ走る 3 土曜、日曜は休んで10キロずつ走る。
4 二日間は10キロずつ、五日間は6キロずつ走る。
女:ここで、ちょっと休みましょう。
(音楽が流れます) では、また続けます

1.      2.     3.     4.  

問(10)

聴解スクリプト:
十番 問題:男の人が、電話で火事の被害について話しています。
どんな被害がありましたか。
男:もしもし、山田さん、実は宿泊しているホテルが、火事になって。
山田:えー?
 それで無事か?
男:私は無事でしたか、部長がやけどを。

山田:だいぶひどいのか?
男:いえ、軽いやけどです。
でも山田さん、あの、先方との契約の書類が、火事で。


山田:わかった。
気にしなくていい。
すぐ作り直すから。
たいしたことがなくてよかった。
: 1 部長がやけどをして、書類も焼けました。
2 部長がやけどをしましたが、書類は無事でした。
3 二人とも無事でしたが、書類がやけました。
4 二人ともやけどをして、書類も焼けました。


1.      2.     3.     4.  

問(11)

聴解スクリプト:
十一番 問題:男の人と女の人が話しています。
男の人はイチゴをどうしてほしいと言っていますか。
田中:はい、田中です。
江川:東京スーパーの江川と申します。
いつもありがとうございます。
えー田中さま、先日はリンゴのご注文をありがとうございました。
田中:はあー 江川:あのう実は昨日、間違ってリンゴではなくてイチゴをお送りしてしまいました。
田中:あらあー 江川:すみません。
改めてリンゴをお送りいたしましたので、あす届くかと思います。
   イチゴは本日届きますが、配達のものに、注文していないと言っていただければ持ち帰りますので、宜しくお願いいたします。
田中:はい 江川:ご迷惑おかけして申し訳ありません。
: 1 受け取らない 2 受け取って食べる 3 受け取ってそのまま預かる 4 受け取って、後で送り返す。


1.      2.     3.     4.  

問(12)

聴解スクリプト:
十二番 問題:男の人と女の人が話しています。
男の人は、なぜ、パーティーに出たくありませんか。
女:今夜のパーティーは出るの?
男:うーん、ちょっと気が進まなくてね。
女:どうして?


あ、わかった。
村田部長が来るからでしょ。
むかし、だいぶ厳しく言われてたものね。
男:それはむしろ感謝しているんだ。
ずいぶん鍛えられたと思っているよ。
実は村田部長に借金しててね。


それも、けっこうな額なんだ。
それがまだ。

女:ああ そう 1 村田部長にお金を借りているからです。
2 村田部長にお金を貸しているからです。
3 村田部長に鍛えられたからです。
4 村田部長に厳しく言われていたからです。


1.      2.     3.     4.  

問(13)

聴解スクリプト:
十三番 問題:男の人が話しています。
男の人はたばこをどうすると言っていますか 男:やっぱり、たばこは止めるべきだよな。
でもなかなかなあ。
会社では禁煙になっちゃったから、せいぜいちょっと外に出て吸うしかないんだよなあ。
うちには赤ちゃんもいるし。
しょうがないか。
仕事の時は、まだ自信がないなあ。
ほんとは完全にとめたほうがいいんだよな。
まあ、まずはうちから始めることとにするか。
1 完全に止める 2 会社では止める 3 うちでは止める 4 止めない

1.      2.     3.     4.  

問(14)

聴解スクリプト:
十四番 問題 高橋さんと女の人が話しています。
高橋さんのお父さんはどうして山へ行くのを辞めましたか。
女:高橋さんのお父さん、有名な登山家なんですって。
高橋:そうだったんだけど。
おととしあたりから山に行かなくなったんだ。
多少の雪や風なんかものともしないで、年に100日以上も山に登っていたんだけど。
 女:大きな怪我でもしたの?
高橋:怪我なんか若い頃からしょっちゅうしているよ。
それが、うちの娘が三つになって“おじいちゃん、怪我したら危ないよ”って言ったら、急にやまをとめちゃったんだ。
1 雪や風が大変になったからです 2 大きな怪我をしたからです。
3 高橋さんに言われたからです 4 お孫さんに言われたからです。


1.      2.     3.     4.  

問(15)

聴解スクリプト:
十五番 問題 男の人と女の人が話しています。
男の人は林さんが今日どうすると言っていますか。
女:林さん、早くこないかなあ。
男:やつは時間どおりに来たためしがないんだよ 女:でも、今日に限って遅刻ってことはないでしょう.きっと、少しは余裕をみてくるんじゃない?
男:いや、それはなな 女:でも、予想に反してちゃんときたりして。
男:いや、ちゃんと来ると思いきゃ、そうじゃないんだよなあ。
1 約束の時間より早くくる 2 約束の時間より遅く来る 3 時間どおりにくる 4 今日は来ない

1.      2.     3.     4.  

問(16)

聴解スクリプト:
十六番 問題 男の人が本の表紙についてはなしています。
いい本の表紙の条件としてあてはまらないものはどれですか。
あてはまらないものです。
男:えー、やはり本の表紙として大切なのは、眺めて楽しいことです。
一般に、色の使い方は落ち着いたものが好まれます。
それから手にとって気持ちいいことです。
紙の質なんかが関係してくるわけです。
最後に、デザインがすっきりしていることです。
ですから、文字のスタイルも大切です。
1 色があざやかなことです 2 紙の質がいいことです 3 眺めて楽しいことです 4 文字が読みやすいことです。


1.      2.     3.     4.  

問(17)

聴解スクリプト:
十七番 問題 男の人と女の人が話しています。
男の人は、部長のやり方についてどう考えていますか。
女: 川井さん、どう思います。
今度の部長のやり方、厳しすぎると思いませんか。
川井:んん、どうでしょうね絵。
女: でも、あれじゃうまくいかなくなりますよ。
川井:そうねえ 女: 川井さんはそうは思わないんですか。
川井:ま、厳しいことは厳しいけど、それなりに考えがあるんじゃないの、部長にも 1 厳しくないからいい 2 厳しすぎるのでよくない 3 厳しいのでうまくいかない 4 厳しいが理解できる

1.      2.     3.     4.  

問(18)

聴解スクリプト:
十八番 問題 男の人と女の人が話しています。
女の人を旅行にさそったのは誰ですか。
吉田: あら 田中さんのご主人。
吉田です 男:  ああどうも 吉田: 先日はありがとうございました。
 奥様に。


男:  はあ?
吉田: 旅行にさそっていただきまして。


男:  あっいいえ。
家内もご一緒できて嬉しかったといっておりました。
息子も向こうでお目にかかったとかで、お話しができてよかったと言っておりました。
吉田: こちらこそ。
どうもよろしくお伝えくださいませ。
1 女の人のご主人です 2 女の人の息子です 3 男の人の奥さんです 4 男の人のむすこです

1.      2.     3.     4.