ÈÇÓ×ÅÍÈÅ ßÇÛÊΠ- ßÏÎÍÑÊÈÉ
STUDY LANGUAGES - JAPANESE

8. JLPT


Menu JLPT / 1997: JLPT-1 (N2-N1)
Japanese language proficiency test
009 - Task 1
Grammar and Reading

 
-- partページ 3 --





問題Ⅰ 次の文章を読んで、後の問いに答えなさい。答えは、1・2・3・4から最も適当なものを一つ選びなさい。
自分は自分であって、他の人ではない。食事をする暇がないので、誰かに代わって食べてもらう、などできないのは当然である。また、私たちは誰でも、その「自分」を知っている。自分は背が高いか低いか、どんな顔をしているか、気が強いほうか弱いほうか、これらが自分で分からないという人はまずいないだろう。自分で自分自身に対してもつ、このような認識内容を、一般 に①自己概念と呼ぶ。
( ② )、これは正常な大人の場合の話である。発達初期の乳児(注1)は、自分の体と自分の周囲のものとの区別がつかない、自分とお母さんとは別の人間だということにも気付いていない、といわれている。そのような状態では、自己概念などは問題になるまい。いったいいつ頃から、 「自分」に気付き、「自分」という観念が生まれてくるのだろうか。
生まれて間もない乳児に、「自分の存在を感じているか」「自分をどう思うか」などと聞いてみ ても無意味である。そこで、問題を解明(注2)するためのテクニック(注3)の一つとして考え出されたのが、鏡に映った自分の姿を乳幼児に観察させる、という方法である。
 (中略)鼻の頭に口紅で赤い印をつけて、子どもを鏡に向かわせたとする。その時、鏡映像を見て自分自身の鼻に触ったとしたら、( ④ )、といえるであろう。
そのような方法を用いた研究の一つ、ルイスとブルックスーガンの実験で、彼らは、生後9ヵ月から24ヵ月までの、六つの年齢グループの子どもたちを比較している。
 各年齢グループの子どものうち、鼻に印をつけないのに鼻に触った子がいたパーセントと、鼻に印をつけた時に鼻に触った子のいたパーセントとの差を示したのが図の縦軸である。この差が 大きいほど、( ⑤ )、自分の鼻の印に気付いたが故に、鼻に触る行動が増えたことを示すといえる。これから明らかなように、鏡映像を自分だと気付く子どもは、15ヵ月から18ヵ月にかけての年齢で急に増え、24ヵ月の段階ではかなりの子が「自分」に気付いていることが分かる。
このようにして得られた結果は、乳幼児の単なる視覚的な自己認知(注4)を示すにすぎないともいえようが、これがその後の自己概念の発達の基礎となることもまた確実であろう。
(高田利武「鏡の中の〈私〉」斉藤勇編『対人心理学トピックス100』誠信書房による)
(注1)乳児:生まれてから1年ぐらいまでの子ども、乳幼児は3歳ぐらいまでの子ども
(注2)解明:分からないところをはっきりさせること
(注3)テクニック:技術、方法
(注4)認知:存在がわかること、存在を認めること
問(1)  ①「自己概念」の最も適当な説明はどれか。
     1.人は誰でも「自分」を知っているという認識
     2.自分の性質や特徴についての自身の認識
     3.食事などに対する自己管理についての認識
     4.大人のように十分自立しているという認識
  
問(2)  ( ② )に入る最も適当な言葉はどれか。
     1.それで     2.一方      3.だから     4.しかし  
問(3)  ③自己概念などは問題になるまいとあるが、ここではどういうことか。
     1.自己概念という言葉は難しすぎてわからない。
     2.自己概念などは言葉の意味が簡単すぎる。
     3.自己概念を考えるのは乳児では早すぎる。
     4.自己概念などは誰にもあり、問題はない。
  
問(4)  ( ④ )に入る最も適当な文はどれか。
     1.その子は鏡に映っているのが自分だと分かっている
     2.その子は自分の鏡映像を他の子どもと考えている
     3.その子は鏡に映った映像に興味を持っている
     4.その子は目がよくて自分がよく見えている
  
問(5)  ( ⑤ )に入る最も適当な言葉はどれか。
     1.偶然の結果として
     2.印の色が赤いほど
     3.自分の口ではなく
     4.単なる偶然ではなく
  
問(6)  ⑥「鏡映像を自分だと気付く」とあるが、具体的にはどうすることか。
     1.口紅のついた自分自身の鼻の頭に触れる
     2.口紅のついていない自分の鏡映像に触れる
     3.口紅のついた自分の鏡映像に触れる
     4.口紅のついていない自分自身の鼻の頭に触れる
  
問(7)  ⑦『自分』に気付いている とあるが、どういうことか。
     1.自分がどのように認識されているか自覚すること
     2.「自分をどう思うか」という質問に答えられること
     3.視覚的な自己認知ができているということ
     4.自己概念が大人同様に発達しているということ
  





問題II次の(1)~(6)の文章を読んで、それぞれの問いに対する答えとして最も適当なものを 1・2・3・4から一つ選びなさい。
ここに使用された問題文は、本問題集への掲載許可を当該著作権者から  得られませんでしたので、問題文及び問いを掲載しません。  





問題Ⅲ次の(1)~(6)の文章を読んで、それぞれの問いに対する答えとして最も適当なものを 1・2・3・4から一つ選びなさい。
(1)  世間には、「のせ上手」の人がいる。たとえば、相手がしゃべりたくもないことをうまく  リード(注1)して、いつの間にかその気にさせてしまう人である。  
こういう人は案外、「聞き上手」な人に多い。大汗をかいて馬を引っ張って水飲み場に連れていくのではなく、なんとなくお尻を叩きながら、いっしか自分の意志で馬を水飲み場へ行かせてしまう人なのだ。
友人にあとで悪く思われることもない。なぜなら、のせられる入も、隠したいことほどしゃべりたい話だからである。
(神津カンナ『その入のどこが人を魅きつけるのか』三笠書房による)
 (注1)リードする:導く
問(1)  「自分」に当たるのはどのような人か。
     1.相手をその気にさせる人
      2.馬を水飲み場へ行かせる人
      3.のせられる人
     4.聞き上手な人
  
(2) 「人はその血管と同じに年をとる」という名言があります。もちろん、人間だけでなく、いろいろな動物にもあてはまります。この言葉は、血管というものが、老化を考えるさい、いかに大事であるかを物語っています。体の各器官がどんなに若々しくとも、血管に障害があった ら、その器官に栄養物も酸素も届けられず、また、老廃物(注1)はたまる一方になってしまいます。 鉄道や運送会社、それに清掃業者がストライキをおこしたとしたならば、都市は瀕死(注2)状態になることでしょう。血管の役割はそれほど重大なのです。
(香原志勢『老いを考える』ほるぷ出版による)
(注1)老廃物:動物の体内で古くなり、いらなくなったもの
(注2)瀕死:今にも死にそうなこと
問(1)  文の中の「人」と「血管」の関係に当たるものはどれか。
     1.動物と各器官      2.栄養物と老廃物     3.鉄道と清掃業者     4.都市と運送会社  
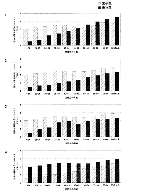
(3)  最近、果物の消費が伸びていません。そこで、果物の年間購入金額を調べてみました。一人 当たりの購入が最も多いのは世帯主が65歳以上の家庭で、最も少ないのは世帯主が24歳以下の家庭でした。金額にすると、前者は23,494円、後者は5,036円と、約4.7倍も差が開いています。
果物の「敵」は、お菓子だとよく言われています。やはり、菓子類でも購入金額が最も多いのは世帯主が65歳以上で29,117円、少ないのは24歳以下で20,199円となっています。ところが、果物と菓子類とでは、やや違った傾向が見られます。いずれの年齢の世帯主の家庭でも、果物より菓子類の購入金額の方が多いのですがい年齢が上になるほど、この差は小さくなっていきます。これは、果物の購入を伸ばすためには、若い家庭に対する宣伝がもっと必要だということでしょう。
問(1)  次のグラフの中から説明に合っているものを選びなさい。
     1.     2.     3.     4.  
(4) 次男(注1)が一年生のときである。ある夕方、それまで降っていた雨があがると、東の空に大き
   な虹がかかった。次男は、
 「ママ、[ ①  ]
と言い、当時二歳になる弟と外に出た。私はさして(注2)気にもとめないでいたが、暗くなっても
    帰らない。不安になり、自転車で近所一帯を探したが、姿が見えない。いよいよ警察に届けよ
うと決意したとき、二人は戻ってきた。
私が叱ると、彼は以前、イギリス人から虹(注3)のたもとには宝物が埋められているという古い
伝説を聞いた、と話した。
「あの家の上に虹が乗ってる、と思ってその家まで行ったら、また虹が逃げちゃったんだよ」
と言う。小さい弟の手をつないで、東へ東へと夢中で走り、とうとう隣の町まで行ってしまっ
たという。
(藤原美子『子育てより面白いものが他にあるだろうか』海竜社による)
(注1)次男:二番目の息子
(注2)さして:それほど
(注3)虹のたもと:虹のたもと
問(1)  [ ①  ]に入る最も適当なものはどれか。
     1.ちょっと虹を見てくるね
     2.お兄さんを呼んでくるね
      3.隣の町まで行ってくるね 
     4.自転車に乗ってくるね
  
問(2)  ②「また虹が逃げちゃったんだよ」という言い方が表す気持ちとして最も適当なものはどれか。
     1.前にも同じように虹を追いかけたことがあったが、今回も失敗して悔しい。
     2.虹のたもとに宝物が埋められているという伝説が本当ではないとわかって残念だ。
     3.悪いことをしたわけではなく、虹を追いかけていただけで叱られたのが不満だ。
     4.何度も虹のたもとまで行けそうになったのに、結局行けなかったのが残念だ。
  
(5) 子どもにとって、想像の世界とは、単なる逃避の場ではない。動機としてはしばしばそうい  うものがあるとしても、逃避ということばは敗北という情緒的な意味づけを含んでいるがゆえに、間違っていると思う。想像の世界とは、むしろ、子どもが、精神の自由、精神の主体性を守る場所でこそあるのではないか。決して自分のために運営されているのではない現実から相対的に独立して、観念の力をみずから養う場所なのではないだろうか。
(佐藤忠男『大衆文化の原像』岩波書店同年代ライブラリーによる)
問(1)  子どもにとって想像の世界とは、どのようなところか。
     1.自分の意志で自由に考えることができるところ
     2.きびしい現実を完全に忘れることができるところ
     3.大人の世界から離れて楽な気持ちになれるところ
     4.現実から逃げて自分の好きなことができるところ
  
(6) 下のA~Dは、それぞれア、イ、ウ、エのどこかに入る文です。
新しくスペイン語を始めるとしよう。一か月したら基礎的な単語や日常の挨拶などについて

A テストの前にはもう一度おさらいして、何とかマスターするように頑張る (注1) はずである。
B 一年間、例えば毎月毎月のテストをひとっの励みにし、目当てにして学習 (注2) を積み重ねていくならば、実際に使い物になる程度のスペイン語能力を身 (注3) につけることができるはずである。
C やはりそれを目指して勉強するのではないだろうか。
D 評価ということには、学習に対する外的な刺激、その意味でのペースメー (注4) カーとしての働きがあるのである。
(梶田叡一『教育評価』放送大学教育振興会による)
(注1)おさらい:復習すること
(注2)目当て:目標
(注3)使い物になる:使って役に立つ
(注4)ペースメーカー:ものごとの進み方をうまく調整する人
問(1)  正しい組み合わせのものを選びなさい。
     1.ア:A イ:B ウ:C エ:D
     2.ア:B イ:A ウ:D エ:C
     3.ア:C イ:A ウ:B エ:D
     4.ア:D イ:B ウ:A エ:C
  





問題IV 次の文の_______にはとんな言葉を入れたらよいか。1・2・3・4から最も適当なものを一つ選びなさい。
問(1)  試験の日に朝寝坊をした弟のあわてようと_______なかった。
     1.いっても     2.いうけど     3.いうのに     4.いったら  
問(2)  彼女は3度の足のけがを_______オりンピックの代表選手になった。
     1.ものともせず      2.ものにせず     3.ものにして     4.ものではなく  
問(3)  田中さんは周囲の心配_______ヨットで長い航海に出た。
     1.はもとより      2.をよそに      3.によらず      4.はおろか  
問(4)  このたび代表として國際会議に_______いただくことになりました。
     1.いかれて      2.いかせて      3.いかされて      4.いかせられて  
問(5)  わたしの_______未熟者にこんな重要な役力が果たせるでしょうか。
     1.ごとき      2.ごとの      3.ごとく      4.ごとし  
問(6)  休養に徹すると言い_______頭から仕事のことが離れない。
     1.ながらに      2.かたがた      3.ながらも      4.ついでこ  
問(7)  鈴木アナウンサーはきょうのサッカーの試合の中継放送を_______引退した.
     1.かぎりに      2.かぎつて      3.しまって      4.ばかりに  
問(8)  姉と_______最近おしゃれのことばかり気にしそいる。
     1.すれば      2.したら      3.あれば      4.きたら  
問(9)  選手_______もの、試合においては堂々と戦え。
     1.する     2.おる     3.たる     4.ある  
問(10)  どんな小さな成功も努力_______ことだ.
     1.あっては      2.あってで     3.あっても     4.あっての  
問(11)  父親が帰ると、待っていたと_______娘はおみやげをねだった。
     1.ばかりに     2.ばかりか     3.ばかりも     4.ばかりで  
問(12)  掃除が終わうたらおやつがもらえる_______子供は一生懸命手伝っている。
     1.とあって     2.として     3.とあっても     4.とすると  
問(13)  昔は親に反抗_______、すぐにたたかれたものだ。
     1.しそうものなら     2.しようものなら     3.しないものなら     4.しようものの  
問(14)  息子はこづかいをやったそば_______使ってしまう。
     1.にも     2.まで     3.から     4.でも  
問(15)  どう_______になって働いても、もらえる金はわずかだ。
     1.まみれ     2.ぎみ      3.くさく     4.ながら  
問(16)  あの子はいったん遊びに出たが_______、暗くなるまでもどって来ない。
     1.終わり     2.始末      3.しまい     4.最後  
問(17)  地震のことなど想像する_______恐ろしい。
     1.だの      2.でも      3.だに      4.では  
問(18)  見舞いに来ない_______電話ぐらいはするものだ。
     1.からに     2.までに     3.からも     4.までも  
問(19)  結婚をひかえ、家具はもちろん、皿やスプーンに_______新しいのを買いそろえた。
     1.いたりで     2.いたっては     3.いたっても      4.いたるまで  
問(20)  コンピュータに入れておいても、うっかり消してしまえぱ_______。
     1.そのものだ     2.それまでだ     3.そのままだ     4.それだけだ  
問(21)  課長である以上、そんな大事なことを知らなかった_______だろう。
     1.でもすまされない      2.でもとまらない     3.ではすまされない      4.ではとまらない  
問(22)  友達の励まし_______作品の完成はなかったであろう。
     1.なくとも     2.なくしては     3.ないまでも     4.ないでは  





問題V 次の文の_______にはとんな言葉を入れたらよいか。1・2・3・4から最も適当なものを一っ選びなさい。
問(1)  知らないくせに知っているようなふりをする_______。
     1.ことじゃない      2.ようじゃない      3.までじゃない      4.ものじゃない  
問(2)  そんな簡単なこと、わざわざあなたに説明してもらう。
     1.までもない     2.ものではない      3.わけでもない      4.ところではない  
問(3)  事故で家族を失った人の話を聞いて、涙を_______。
     1.禁じなかった     2.禁じ得なかった     3.禁じざるを得なかった      4.禁ぜずにはおれなかった  
問(4)  台風によって交通機関が止まってしまい、旅行の中止を_______。
     1.余儀なくした      2.余儀なくさせた     3.余儀なくされた     4.余儀なくなった  
問(5)  みんなから信頼されている彼をおいてほかに適当な人が_______。
     1.いるだろう      2.いるだろうか     3.いないだろうか     4.いはしないだろうか  
問(6)  うるさいと感じるかもしれないが、親があれこれ言うのはあなたのことを心配して_______。
     1.いたらこそだ     2.いればこそだ     3.いるなちこそだ      4.いたならこそだ  
問(7)  問題がこじれてしまう前に対策をたてるべきだったのに、ことここにいたっては_______。
     1.どうかしなくては     2.どうにかしている     3.どうしようもない     4.どうしたというのか  





問題V1次の文の_______にはとんな言葉を入れたらよいか。1・2・3・4から最も適当なものを一つ選びなさい。
問(1)  この奨学金は留学生のためのものです。出身国の_______によらず応募することができます。
     1.どこ      2.なに      3.いかん     4.どちら  
問(2)  人には精神の豊かさこそが第一に必要なものである。どんなに物質的に豊かになった_______、幸せだとは限らない。
     1.だけあって     2.のみならず     3.にかかわらず      4.からといって  
問(3)  同じ兄弟でありながら、彼らほど性格が違うのも珍しい。いつも冷静でしっかり者の兄_______、弟の方はなんと落ち 着きのないことか。
     1.とかわって     2.にひきかえ     3.にもまして     4.といえども  
問(4)  父も母も、これまではただ仕事ひとすじで、人生を楽しむゆとりなどなかった。海外旅行は_______国内さえもほとん ど見て回ったことがない。
     1.おろか     2.わずか     3.限らず     4.問わず  
問(5)  世界経済の自由化の波は、日本の農業にも深刻な影響を与えた。米は一粒_______輸入させないと言っていた人々も、もうそんなことは言っていられなくなった。
     1.ばかりも     2.だけさえ     3.たりとも     4.とはいえ  
問(6)  ラジオから流れてくる日本の民謡を_______聞いていると、何だか懐かしい気分になった。どうしてだろうと思ってよく聞いてみると、私のふるさとの音楽とリズムが一緒だった。
     1.聞かないまでも     2.聞くともなしに     3.聞くこともせずに     4.聞かないながらも