ÈÇÓ×ÅÍÈÅ ßÇÛÊΠ- ßÏÎÍÑÊÈÉ
STUDY LANGUAGES - JAPANESE

8. JLPT


Menu JLPT / 1994: JLPT-1 (N2-N1)
Japanese language proficiency test
009 - Task 1
Grammar and Reading

 
-- partページ 3 --





問題Ⅰ次の文章を読んで、後の問いに答えなさい。答えは、1・2・3・4から最も適当なものを一つ選びなさい。
わたしももう48歳で「お若いですね」とお世辞を言われるような年頃になった。もちろん、 そのようなお世辞はたいてい聞き流すが、ときには「若くないよ。昔なら人生50年、もうすぐ終わりだ」と①言い返すこともある。そのようなことを言われはじめるのは、人びとにわたしが老 人と見られはじめたということに過ぎないからである。
それは、自分が自分を見る場合にも言えることで、「自分は( ② )」と思いはじめたら、そ れは( ③ )しるしなのである。実際、若い人は「自分はまだ若い」なんて思っていないし、むしろ「もう歳だ」というようなことを言いたがる。それが老いはじめると「自分は若い」と言(注1) い出すわけで、たいていの老人は自分は実際の年齢より若く見えるし、たとえ若く見えなくても本当は精神的にも肉体的にも若いと信じている。自分は実際の年齢よりも老けていると思ってい る老人にお目にかかったことはまだない。
たしかに老化の進み具合は人によって異なり、年齢の進み具合と必ずしも一致しないが、ほと んどの老人が実際の年齢より若いということは論理的におかしな話で、それなら、実際の年齢通りに老けている老人のほうが例外だということになってしまう。そんな馬鹿なことはない。老人 がそう思っているのが希望的観測に過ぎないことは明らかで、自分の状態よりさらに老けている状態を勝手に「年齢相応」と決め込み、それと自分を比較しているに過ぎない。
つまり、老人になればなるほど自分は若いと思いたがるわけで、したがってこのことから当人の老化の程度を判定できるのではないかと私は考えている。かりに老化指数(注2)という言葉を使えば、 れき(老化指数)=(暦年齢(注3))一(当人が思っている年齢)という方程式が成り立つ。たとえば15歳の 人が自分はもう一人前のおとなで、20歳で通ると思っていれば老化指数はマイナス5、20歳の人が自分は20歳程度と思っていれば老化指数は0、40歳の人が35歳程度と思っていれば5、60 歳の人が50歳程度だと思っていれば10である。ここに自分は50歳と変わらないと思っている70歳の人と、自分は60歳ぐらいには見えると思っている同じく70歳の人がいるとすれば、老化指 数は前者が( ⑦ )、後者が( ⑧ )で、前者のほうが二倍もより老化しているわけである。「近頃の若者は」なんて言うと老いた証拠と笑われるかもしれないが、近頃の若者には、はたち を過ぎたばかりなのにもう「おじん」(注4)または「おばん」(注5)馳になったと嘆き、10代に見られたがる者がいるが、22歳の者が自分は18歳に見えると思っているとすれば老化指数は20代にしてすで に4である。近ごろ、そういう若者が多いということは、一方では若者の幼児化が言われてはいるが、他方では早くから精神的に老け込んでいる証拠ではなかろうか。
(岸田秀『不惑の雑考』文藝春秋による)
(注1)「もう歳だ」:「もう老人だ」
(注2)老化指数:老化の程度を示す数字
(注3)暦年齢:実際の年齢
(注4)おじん:おじさん
(注5)おばん:おばさん
問(1)  「言い返すこともある」とあるが、なぜだと考えられるか。
     1.お世辞を言われるような年頃になったから
     2.自分の人生はもうすぐ終わりだと考えたから
     3.老人と見られはじめたことを意識させられるから
     4.お世辞を聞き流すのは相手に失礼だと思ったから
  
問(2)  ( ② )と( ③ )に入る組み合わせとして、最も適当なものを選びなさい。
     1.②もう歳だ  ③若い
     2.②もう歳だ  ③老人になった
     3.②まだ若い  ③若い
     4.②まだ若い  ③老人になった
  
問(3)  「自分」は、だれを指すか。
     1.老人     2.筆者     3.若い人     4.お世辞を言う人  
問(4)  「そんな馬鹿なこと」とは、どのようなことか。
     1.老化の進み具合は人によって異なること
     2.精神的にも肉体的にも自分は若いと信じていること
     3.実際の年齢通りに老けている老人が例外になること
     4.年をとると、「若いですね」とお世辞を言われること
  
問(5)  筆者が⑥(老化指数)=(暦年齢)一(当人が思っている年齢)という方程式が成り立つと考えたのは、なぜか。
     1.人によって体力のおとろえ方が異なるから
     2.老化が進むほど人は若いと思いたがるから
     3.ほとんどの老人が暦の年齢より若いから
     4.年齢相応の老け方を決められないから
  
問(6)  に入る組み合わせとして、最も適当なものを選びなさい。
     1.⑦ 5 ⑧ 10
     2.⑦ 10 ⑧ 5
     3.⑦ 10 ⑧ 20
     4.⑦ 20 ⑧ 10
  
問(7)  「老化指数」によると、次のうち最も老化していると言えるのはどれか。
     1.自分が20歳だと思っている30歳
     2.自分が35歳だと思っている40歳
     3.自分が40歳だと思っている30歳
     4.自分が45歳だと思っている40歳
  
問(8)  「近頃の若者」について、筆者が最も指摘したかったことは何か。
     1.精神的に幼児化している
     2.精神的に老けこんでいる
     3.若く見えるようになった
     4.老けて見えるようになった
  





問題II次の文章を読んで、後の問いに答えなさい。答えは、1・2・3・4から最も適当なものを一つ選びなさい。
 重苦しいほどむし暑い晩だった。
空には星ひとつなく、海は不気味に静まりかえっている。
私はいつものように、後甲板(注1)の方へ歩いていった。後甲板には先客が一人いた。デッキの
手すりにもたれ、その男はしきりに暗い海をのぞきこんでいる。
「今晩は」
と私は声をかけた。
ふりかえった男の顔は骸骨(注2)のように痩せ細っていた。眼が落ちくぼみ、顔色がひどく蒼白い。
「今晩は……」
男は低くしゃがれた声でそう云うと、薄い唇をゆがめて笑った。
私は男の隣りに歩み寄って、同じように暗い海をみつめた、海はいつでも私をもの哀しい
気分にさせる・海の中にいる誰かが呼んでいるような・・・・・。
「いやな晩ですね」
と私は云った。
「そうですか……」
男は骨ばった長い指で髪の毛をかきあげた。
「ぼくはこんな晩の方が好きなんですよ。なんとなく不気味で面自いじゃありませんか」
私は変った男だなと思った。私が黙っていると、彼が問いかけてきた。
「この船に幽霊が出るという噂があるんですが、知っていますか?」
「幽霊?」
と私は訊き返した。
「ええ。やはりぼくたちみたいな客の一人が、自殺したことがあるんだそうです。こんなふ
うに重苦しくて、風のない晩だったと云いますよ。その男はしばらく海を眺めていて、ふい
に飛びこんだんです。ちょうどここから、今、ぼくらがこうしているところからね……」
男は私の顔をのぞきこむようにして、にやりと笑った。
「あがった屍体(注3)は、右の腕がなかったそうです。スクリュウ(注4)に切りとちれたのかもしれませ
んね」
二人は暗い海にほの白く泡だっているスクリュウのあとをしばらくみつめた。
「それで、その幽霊が出るんですね」
私の声は少しふるえているような気がした。
「ええ、自分の失った右腕をさがしているのだという噂です。こういうふうにむしむしして、
海が妙に静まりかえった晩、男が一人でその海を眺めている。そして、しばらくするとふっと
消えてしまうのです」
男は自分自身をかき消すようなしぐさをした。
「なぜ、その男が自殺したのか知っていますか?」
と私は訊いた。
「( ④ )、なんの原因もないのです。金に困っているわけでもなく、失恋したわけでもな
かった……」
眉をひそめ、男は遠い所を見る眼つきで海をみつめた。
「多分……」
と云って男は口ごもった。
「多分、この海を見ているうちに、なにもかもいやになったのでしょうね。そして、ひきず
りこまれるように、飛びこんだのでしょう。ぼくには、その気持がわかるな。こうしている
と、なにもかも忘れて、この海の底で眠りたくなる。あなたは、そう思いませんか?
私も、海をみつめた。海は暗く、静かに私を呼びかけている(注5)ように思えた。
(注1)後甲板: (注4)スクリュウニ
(注2)骸骨のように痩せ細った:非常に痩せた
(注3)屍体:死体
(注5)私を呼びかけている:通常は「私に呼びかけている」
ここまで読んで、次の間1から問4に答えなさい。
問(1)  「そうですか……」の意味に最も近いものは、どれか。
     1.私もそう思います
     2.私はそう思いません
     3.私は夜が嫌いです
     4.私も夜が嫌いじゃありません
  
問(2)  「この船に幽霊が出るという噂」とあるが、この噂によると幽霊はどんな時に出るか。
     1.むし暑くて海の静かな晩
     2.もの哀しい気分にさせる晩
     3.海がほの白く泡だっている晩
     4.自殺したいと思っている客がいる晩
  
問(3)  「男が一人でその海を眺めている」とあるが、それは何のためか。
     1.自殺するため
     2.自分の右腕をさがすため
     3.幽霊が出るのを待つため
     4.海の中にいる誰かを呼ぶため
  
問(4)  ( ④ )に入る適当なことばを選びなさい。
     1.それを     2.それで     3.それに     4.それが  
問(5)  上の文章(4~5ページの文章)の後には、次の文章が続きます。最後まで読んで、下の問5、問6に答えなさい。
「そうなのです」
ため息を吐きながら、私は云った。
「それで、あの晩私は飛びこんだのです」
私の右腕がないのに男が気づいたのは、その時だった。
(生島治郎「暗い海暗い声」『奇妙な味の小説』立風書房による)
「あの晩私は飛びこんだ」のは、なぜか。
     1.借金と失恋で生きる希望をなくしたから      2.自分の失った右腕をさがそうと思ったから      3.すべてを忘れて海の底で眠りたくなったから      4.海の中の幽霊に呼ばれたような気がしたから  
問(6)  次の幽霊について述べたもののうち、正しいものを選びなさい。
     1.「私」が幽霊だった
     2.甲板にいた男が幽霊だった
     3.甲板にいた男と「私」が幽霊だった
     4.幽霊は出てこなかった
  





問題Ⅲ次の(1)~(7)の文章を読んで、それぞれの問いに対する答えとして最も適当なものを1・2・3・4から一つ選びなさい。
(1) 言葉は時代と共に変る。今の若い女性の中には平気で男言葉で話す人も多い。男性が語尾に「よね」をつけて話したり、女言葉に近づいてもいる。男女の言葉の差は昔に較べれば格段に少なくなっている。今の時代の男女の生き方を象徴しているのでもあるだろう。そんな中で「男言葉」「女言葉」を守ろうというのではない。時代の流れに任せてもなお自然に残る言葉は残るのではないかと思うのだ。口に出す時ちょっとした抵抗感があるかないかという形で。その感覚を大切にしたい。それが日本語の中の文化であり味わいであるかもしれないと思うから。
              (山根基世「日本語の味わい」『国文学解釈と鑑賞』1991年7月号至文堂による)
問(1)  この文章で、筆者はどのようなことを言おうとしていると考えられるか。
     1.言葉の男女差は将来、残らないだろう。
     2.言葉の男女差は今後もなくなってほしくない。
     3.言葉の男女差は意識されていない。
     4.言葉の男女差はしだいに、大きくなっていくだろう。
  
(2) 旅行に出かける理由はいろいろありますが、一番の喜びは、旅先での解放感ではないでしょうか。この解放感は、自分を知っている人が誰もいないという心理に起因します。つまり、自分が恥をかいたり、失敗したり、あるいは、破廉恥な(注1)ことをしても、そのことで後々困ることは起こらないと思うからです。
  旅先にいる私は、家庭や職場の私ではなくて、どこの誰だかわからないような匿名(注2)性をもった、一人の人間なのです。
  このよっに、自分を見つめることを忘れ、他人から批判される懸念(注3)も薄れ、恥とか罪とかによる自己規制も弱まり、いつもならしないような行動をとることを、没個性化現象と言います。こうした没個性化は、大勢の見知らぬ人々の中にいる時や群衆の中にいる時、自分が誰だか人にわからないような時に現われます。
                                       (渋谷昌三『心理おもしろ実験ノート』三笠書房による)
(注1)破廉恥なこと:道徳的にしてはならないこと
(注2)匿名:名前を隠すこと
(注3)懸念:心配
問(1)  「没個性化現象」は、どんな時に生じるか。
     1.解放感が失われた時
     2.自己規制が強まった時
     3.匿名性が保たれている時
     4.批判される懸念が生じた時
  
 (3) いうまでもなく、木々の葉の緑を見るとき、その葉には緑"色"という"物"がついているのではない。ある一定の状態の光の中で、その葉を前にしてもつ視覚的な体験のある種のあり方を、人は緑という"色"を見たと表現しているのである。
   目の前には"形"と"動き"があり、そこに人は"色"を見る。"色"は人の( ① )にあるのではなくて、人の側にあるものなのだ。"色"とは、この地上で人が外界に対してもつ視覚的な対応の仕方の一例であり、それは人の内側で起こる出来事の一例なのである。それに対し、"形"や"動き"となると、そのあり方の把握は人の( ② )でのことであるとはいえ、基本的には人の( ③ )で起こっている出来事であるといえるだろう。
(西江雅之「色をあらわす言葉」『色の博物誌』朝日新聞社による)
問(1)  (①)~(③)には、「内側」か「外側」が入る。その組み合わせとして最も適当なものを選びなさい。
     1.① 外側 ② 内側 ③外側
     2.① 外側 ② 外側 ③ 外側
     3.① 内側 ② 内側③ 内側
     4.① 内側 ② 外側 ③ 内側
  
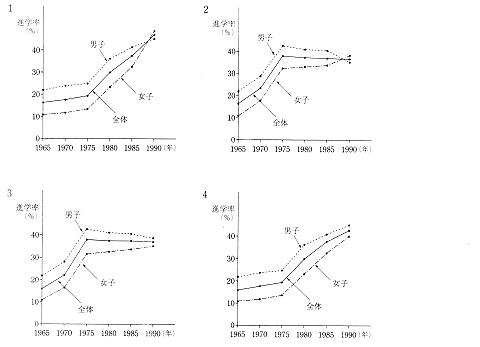
(4)次の文章は大学進学率に関する、1965年から1990年までの5年ごとの調査結果について述べたものです。
大学への進学率は全体で見ると、75年までは急激に伸びた。しかし、75年を境にして伸びは止まり、ほぼ一定の状態がこの15年ほど続いている。
男女別に見てみると、75年以降、男子の進学率はやや下降する傾向を示しているのに対し、女子の進学率はその伸びは鈍くなったが少しずつ上昇を続けており、90年には男子の進学率より高くなった。
(グラフ:文部省『学校基本調査報告書』による)
問(1)  次のグラフの中から、この文章に合うものを選びなさい。
     1.     2.     3.     4.  
(5)ある言語が豊かさを獲得するのは、小さな村落や島に、純粋に保存されることによってではなく、できるだけ多くの異なる背景をもった人たちによって、できるだけ多くの異なる場面で、多様な目的のために用いられることによってである。そうでなければ、ことばは______。
(田中克彦『国家語をこえて』筑摩書房による)
問(1)  この文章の________の部分には、どんな内容の表現を入れることができるか。
     1.獲得されない     2.用いられない     3.純粋にならない     4.豊かにならない  
(6)税に関する本を読んでも、最近の世界の税制改革を調べても、望ましい税の条件としてまっさきにあげられているのが負担の公平です。「公平」とは、とりあえず、国民がそれならば負担してもよい、負担するのもやむをえないと考える税負担の決めかたと理解しておいてください。それでは、なぜ公平なのか。納税が義務、つまり強制だからです。寄付のように自発的な負担なら、負担の決めかたが不公平だと思えば寄付を断ればよいのです。したがって、公平だと思う人だけが頼みに応じて負担する寄付はつねに公平です。ところが、強制的な税の場合はそうはいきません。負担の決めかたが不公平だと思っても、納税は拒否できないのです。
(宮島洋『税のしくみ』岩波書店による)
問(1)  「なぜ公平なのか」というのは、別の表現で言うと、この場合、次のどれに近いか。
     1.税負担が なぜ公平になるのか。
     2.税負担が なぜ公平だと言えるのか。
     3.税負担が なぜ公平になりにくいのか。
     4.税負担が なぜ公平でなければならないのか。
  
(7)自然現象を説明する主な仕方に、万物を生き物になぞらえて説明するやり方と、すべてを機械になぞらえて説明するやり方の二種類がある。前者を有機体論、後者を機械論という。科学の発達を大ざっぱにいえば、昔は自然を、世界を生き物としてとらえる考え方が( ① )が、近代、17世紀からとくに万物を機械論で説明する機械論的自然観が定着し、そのなかから近代科学を生み出してきて、今日にいたっている。動物や人間の身体も、機械のように見なしてかなりうまく説明がつくのである。
しかし昔はそうではなかった。自然万物を生きとし生けるものと見なした。生き物の方が無どん機物よりずっと親近感があったからである。生きて活発に動くものの方が、鈍で動かないものよりずっと印象的だったからである。
(中山茂『宇宙の科学史』日本放送出版協会による)
問(1)  この文章のに入る適当なことばを選びなさい。
     1.強かった     2.特別だった     3.不十分だった     4.めずらしかった  
問(2)  問2②昔はそうではなかったとあるが、どういうことか。
     1.自然現象に関心を持たなかった。
     2.世界を生き物として考えなかった。
     3.昔は、人間を機械とみなすことはなかった。
     4.昔は、無機物については説明できなかった。
  





問題IV次の文のにはどんな言葉を入れたらよいか。1・2・3・4から最も適当なものを一つ選びなさい。
問(1)  太陽と_______永遠に輝いているわけではない。いつかは消え去るときがくる。
     1.いえども     2.いったらば     3.いえばこそ     4.いったからには  
問(2)  彼の栄光は、きびしいレースを勝ち_______末に獲得したものだ。
     1.ぬいて     2.ぬく     3.ぬいた     4.ぬき  
問(3)  小さい頃、よく泥_______になって弟とけんかをしたものだ。
     1.ずくめ     2.まみれ     3.ばかり     4.みずく  
問(4)  喫茶店で、となりの席の話を聞く_______聞いていたら、私の会杜のことだったので驚いた。
     1.ばかりか     2.のみならず     3.ともなしに     4.どころではなく  
問(5)  子どものころ、死については_______だに恐ろしかった。
     1.考え     2.考えた     3.考えて     4.考える  
問(6)  あの時もっとがんばっていれば、と後悔してみた_______で、今更しようがない。
     1.の     2.もの     3.こと     4.ところ  
問(7)  あの人は話好きで、目が_______最後、最低30分は放してくれない。
     1.あったの     2.あったが     3.あうのに     4.あったから  
問(8)  他人を犠牲にする_______なしに、個人の望みを達成することは困難だと考えている人も います。
     1.の     2.こと     3.もの     4.ところ  
問(9)  あそこの家の父親は、毎日朝から酒を飲んで暴れている。息子は、仕事もせず賭けごとに夢中になっている。まったく、父も父_______子も子だ。
     1.と     2.では     3.なら     4.にして  
問(10)  「考えてみます」と言われたので、了承されたと_______、実はそれは「お断りします」という意味だった。
     1.思いゆえ     2.思っても     3.思ったり     4.思いきや  
問(11)  この困難な任務を果たせるのは、彼_______おいてほかにはいない。
     1.を     2.は     3.に     4.で  
問(12)  環境問題の解決策を_______、熱心な議論が続いている。
     1.通じて     2.めぐって     3.まわって     4.こめて  
問(13)  この問題については、あなた_______お考えがおありでしょうが、ここのところは私の言うとおりにしてください。
     1.向きの     2.なみの     3.次第の     4.なりの  
問(14)  その赤ん坊は、私が抱きあげたら今にも泣き_______ばかりの顔をした。
     1.出す     2.出さ     3.出さん     4.出した  
問(15)  彼はとても忙しいらしい。食事を_______が早いか、すぐに飛びだしていった。
     1.とる     2.とり     3.とって     4.とろう  
問(16)  詳しくお話を_______からでないと、お答えできません。
     1.うかがい     2.うかがう     3.うかがった     4.うかがって  
問(17)  自分のことだけではなく、相手の立場に立って考えることのできる人、それが大人という_______だ。
     1.もの     2.ひと     3.ほう     4.ところ  
問(18)  彼は読書が好きだが、読んだそば_______何を読んだか忘れてしまい、同じ本を何冊も買ってしまう。
     1.で     2.から     3.に     4.まで  
問(19)  経済問題の解決には、政府や企業の対応もさること_______、消費者の態度も重要な要素となる。
     1.ながら     2.であり     3.でなく     4.とともに  
問(20)  徹夜は_______、せめて夜12時くらいまでは勉強したほうがいいんじゃないですか。
     1.するほどで     2.するまでも     3.しないほどで     4.しないまでも  
問(21)  とにかく事故現場をこの目で_______ことには、対策はたてられません。
     1.見た     2.見る     3.見ない     4.見なかった  
問(22)  チンパンジーは人間の模倣を_______のみならず、互いに協力して共同作業をしているらしいという報告もある。
     1.して     2.する     3.せず     4.しまい  
問(23)  実際に読んでみて_______、古典のおもしろさを知った。
     1.はじめ     2.はじめで     3.はじめて     4.はじめると  
問(24)  半導体に対する需要は、ここ数年、以前_______もまして高まっている。
     1.まで、     2.から     3.で     4.に  
問(25)  お世話になった先生に頼まれた_______、ことわるわけにはいかない。
     1.からには     2.からでは     3.までには     4.まででは  
問(26)  「これが最近書いた本なんですが、あなたにさしあげますから、どうぞお読みください。」「はい、_______いただきます。」
     1.拝見して     2.ご覧になって     3.拝見させて     4.ご覧にならせて  
問(27)  「先生の奥様はどの方かご存じですか。」「あそこの_______を召していらっしゃるご婦人です。」
     1.年     2.お年     3.年齢     4.お年齢  





問題V次の文のにはどんな言葉を入れたらよいか。1・2・3・4から最も適当なものを一つ選びなさい。
問(1)  帰国する日にパスポートをホテルに置き忘れてくるなんて、いかにも彼の_______。
     1.やるべきことだ
     2.やりたいことだ
     3.やりそうなことだ
     4.やるらしいことだ
  
問(2)  不景気になってからというもの、長年、会社に貢献してきた人でさえ、会社を_______。
     1.やめさせるまでもない
     2.やめられないですむ
     3.やめさせられている
     4.やめないではおかない
  
問(3)  運転手が教えてくれたからよかったものの、もう少しで大切な卒業論文をタクシーの中に_______
     1.忘れるところだった
     2.忘れるところだろう
     3.忘れないところだった
     4.忘れるところではなかった
  
問(4)  彼が生活に困っているというから、お金を貸したのに、そのまま姿を消してしまい、今となっては_______。
     1.あきらめきれない
     2.あきらめかねない
     3.あきらめるまでもない
     4.あきらめるよりほかない
  
問(5)  慎重なあの人に限って、そんなミスを_______。
     1.おかしてばかりいる
     2.おかすはずがない
     3.おかさないではいられない
     4.おかそうとしている
  
問(6)  苦難に満ちたあの人の人生は、涙なくしては_______。
     1.語る     2.語らない     3.語れる     4.語れない  





問題VI次の文の_______にはどんな言葉を入れたらよいか。1・2・3・4から最も適当なものを一つ選びなさい。
問(1)  ノーベル賞を受賞したT氏は、少年時代、劣等生だったという。あの人_______そうなのだから、わが子が劣等生だからといって深刻に悩む必要もない。
     1.だけが     2.にとって     3.にして     4.ともなると  
問(2)  わたしは子供のころから物事を決めるのが遅くて、ずっと悩んできた。たとえば、友達に旅行に誘われても、_______、すぐに返事をしないで、いろいろ考えているうちに時間がたってしまう。いつのまにか友達もあきらめ、旅行はとりやめになってしまい、残念に思うことが多い。
     1.行きたくないわけではないが
     2.行きたくないから
     3.行きたいわけではないが
     4.行きたいというより
  
問(3)  これからの日本人は、国際人をめざすべきだという人もいる。しかし、日本に対する客観的な視点が欠けている人は国際人をめざす_______、国際という言葉を口にする資格すら疑わしいのではないか。
     1.どころか     2.からして     3.ばかりか     4.ゆえに  
問(4)  小さな個人商店を世界的な企業にまで成長させたH氏は、自分の人生を失敗の連続だったと語ったことがある。氏のように失敗に耐えられる_______、成功は望めないということを改めて思い知らされた。
     1.ばかりだと
     2.ぐらいでないと
     3.ぐらいだと
     4.までもないと
  
問(5)  子供の立場を考えずに、一方的に子供をしかりつける親もいる。だが、親は子供をただ_______。親子の関係は信頼関係に支えられているのであって、それなしには、子供は親に反発するだけである。
     1.しからないともいえない
     2.しかるよりほかにはしかたがない
     3.しからないではいられない
     4.しかればよいというものではない