method 2

Menu JLPT / 1997: JLPT-2 (N3-N2)
Japanese language proficiency test
009 - Task 1
Grammar and Reading

 





問題Ⅰ 次の文章を読んで、後の問いに答えなさい。答えは、1234から最も適当なものを一つ選びなさい。
あすは、わが子の入学試験の発表があるという、その前の晩は、親としての一生のなかでも、いちばん落ち着かなくてつらい晩のひとつにちがいない。
  もう何十年もまえ、ぼくが中学の入学試験をうけたとき、発表の朝、父がこんなことをいった。
 「お前、きょう落ちていたら、欲しがっていた写真機(注1)を買ってやろう」
ふとおもいついたといった調子だったが、それでいて、なんとなくぎごちなかった(注2)へんなことをいうなあ、とおもった。おとうさんは、ぼくが落ちたらいいとおもってるのだろうか、という気がした。
  そのときの父の気持ちが、しみじみわかったのは、それから何十年もたって、こんどは自分の子が入学試験をうけるようになったときである。
  おやじ(注3)も、あの前の晩は、なかなか寝つか(注4)れなかったんだな、とそのときはじめて気がついた不覚(注5)であった。おやじめ、味なこと(注6)をやったなとおもった。あまり好きでなかったおやしが、急になつかしくなった
  (中略)
もし入学試験に落ちたら、いちばんつらいのは、もちろん親よりも本人である。
  それを、親が失望のあまりついグサッと胸につきささるようなことをいったら、ということになる。
  よし、おやじにまけるものかと決心した。ほくはすぐ感情を顔に出し怒り声になるタチ(注7)である、落ちたときいた瞬間にいう言葉を、二、三日まえから、ひそかに(注8)⑦練習した
「そうか( ⑧ )、こんなことぐらいでがっかりするんじゃないよ」   くりかえしているうちに、自分が、まず落ち着いてきたのが妙だった。
(花森安冶「もし落ちたら」1963年2月3日付朝日新聞朝刊による)
(注1)写真機:カメラ
(注2)ぎごちない:不自然だ
(注3)おやじ:父。おやしめ:ここでは父親のことを親しみを込めて言っている。
(注4)寝つく:眠りの状態にλる、眠りにつく。寝うかれない=寝つけない
(注5)不覚:不注意で十分考えていないこと
(注6)味なこと:ふつうとちがったじょうずなやり方
(注7)タチ:性格、性質
(注8)ひそかに:人に知られないように
問(1)  「お前」とあるが、だれのことか。
     1.筆者の妻
     2.筆者の息子
     3.筆者の父
     4.筆者
  
問(2)  「へんなこと」とあるが、筆者はなぜそう感じたのか。
     1.落ちていたら、買ってくれるというから。
     2.家が貧しいのに、買ってくれるというから。
     3.まだ子どもなのに買ってくれるというから。
     4.写真機は欲しくないのに買ってくれるというから。
  
問(3)  「そのときの父の気持ち」とは、どんな気持ちか。
     1.合格していたら息子と祝いたいという気待ち
     2.落ちていたち息子をなぐさめたいという気持ち
     3.落ちていたら息子を怒ってやろうという気持ち
     4.落ちていたほうが息子のためにいいと思う気持ち
  
問(4)  「あの前の晩」とはいつか。
     1.父が受験する前の晩
     2.筆者が受験する前の晩
     3.父の試験の発表の前の晩
     4.筆者の試験の発表の前の晩
  
問(5)  「急になつかしくなった」とあるが、なぜか。
     1.父親が買ってくれた写真機を思い出したから。
     2.父親も自分と同じ気持ちだったことに気がついたから。
     3.入学試験を受けたときの自分の気持ちを思い出したから。
     4.入学試験に落ちたときの自分の気持ちを思い出したから。
  
問(6)  「親が失望のあまりついグサッと胸につきさささるようなことをいったら、」のあとには言葉が省略されている。どんな言葉を続けたら意味がよく通るか。
     1.息子がかわいそうだ
     2.息子が安心してしまう
     3.息子が落ち着くだろう
     4.息子が死んでしまう
  
問(7)  「練習した」とあるが、なぜ練習したのか。
     1.息子が、試験に不合格になってしまうと困るから。
     2.自分の不安な気持ちを知られるのがはずかしいから。
     3.自分が感情をはっきり顔に出してしまうと困るから。
     4.不合格だろうと思っていることを知られると困るから。
  
問(8)  (⑧)に人る適当な文はどれか。
     1.頭が悪いからだ、それで
     2.お前はだめだ、だから
     3.残念だったな、しかし
     4.よかったな、しかも
  






問題Ⅱ 次のの文章を読んで、それぞれの問いに対する答えとして最も適当なものを1,2,3,4から一つ選びなさい。
  地球にふんだんに(注1)ある空気は、地球にもともとあったものではないのです。また雨や川や海という大量の水もありませんでした。これらがどうして地球にあるようになったのかは、しばらく前までは謎でした。
  一つの説は、宇宙空間にあるガスが地球の引力に捕まって地球の空気になったというものでした。空気のような軽いものにも引力ははたらきます。薄いながら宇宙空間にガスはあるので、これはいちばんありそうな説でした。しかし宇宙空間のガスの成分を調べると地球の空気とはまったくちがうもので、これではいまの空気の説明はつきません。
  宇宙空間からのものではなかったら、地球の空気はどこからきたのでしょうか。それは地球のなかから出てきたものにちがいありません。
  火山が原因だという説もありました。いま現在地球のなかから出てさているガスとしては、火山からのガスがあります。火山からはガスも水蒸気も大量に出てきています。成分からいえぱ、火山ガスは空気と似ています。だから地球の空気も水もすべて火山から出てきたにちがいないという説があったのです。
  しかし、この説には難点がありました。それはガスが出てさた時間の長さでした。もし火山から地球のすべての空気や水が出てきたとしたら、火山は何十億年もの長いあいだかかって少しずつ地球の空気と水をつくっていったはずなのです。なぜなら地球上で火山がある場所はごくかぎられていますし、火山の数もそれほど多くはありません。だから地球上のすべての空気と水が火山から出てくることは、あまりに大量すぎて短いあいだには不可能だったのです。<中略>
  火山が起源(注2)だという説はこうして消え、結局、地球が生まれてから二、三億年以内というごくはじめのころから大量のガスと水蒸気とをもっていたにちがいないということになりました。しかしどのように空気が生まれたのかは、まだはっきりわかっているわけではありません。地球がつくられていったときに星くずがはげしく衝突して、ガスや水蒸気をはきだした(注3)り、地球がいったん溶けていた時代に、地球をつくった材料だった隕石(注4)のなかに少しずつふくまれていたガスや水蒸気がはきだされたものだと考えられています。
(島村英紀『地球がわかる50話』岩波ジュニア新書による)
(注1)ふんだんに:あまるほど十分に
(注2)起源:物事の始まり
(注3)はきだす:中にたまっているものを外へ出す
(注4)隕石:地球上に落ちてきた星の破片
問(1)  「ありそうな」とあるが、ここではどういう意味か。
     1.そのような説が過去にありそうだ、という意味
     2.説の内容が正しそうだ、という意味
     3.人はそのような説を信じそうだ、という意味
     4.宇宙空間に薄いガスがありそうだ、という意味
  
問(2)  「火山が原因だ」と考えたのはなぜか。
     1.星くずや隕石は地球と似ているから。
     2.現在も火山からガスが出ているから。
     3.火山ガスは空気と似ているから。
     4.宇宙空間のガスは薄いから。
  
問(3)  火山についての文で正しいものはどれか。
     1.火山は地球上のたくさんの場所にある。
     2.火山の数は地球上に非常に多い。
     3.火山からはガスも水蒸気も出てくる。
     4.火山から短い間にたくさんのものが出る。
  
問(4)  地球上の大量のガスと水蒸気はいつごろできたと考えられているか。
     1.地球が生まれた、ごくはじめのころにできた。
     2.地球が生まれてかち何十億年もかかってできた。
     3.地球が生まれる二、三億年前にできた。
     4.いまから二、三億年前にできた。
  
問(5)  ここではどのようにして地球上に空気があらわれたと考えられているか。
     1.火山から出てきた水蒸気が地球上の空気になった。
     2.星くずや隕石がガスをはきだして空気が生まれた。
     3.火山がはきだしたガスが地上の空気になった。
     4.宇宙空間にあるガスが地球の引力で空気になった。
  
問(6)  地球にもともとあったものはどれか。
     1.雨
     2.空気
     3.海
     4.火山
  
問(7)  この文章では空気についてのいろいろな説をどのような順番で説明しているか。
     1.火山説→宇宙空間説→星くず・隕石石説
     2.宇宙空間説→火山説→星くず・隕石説
     3.宇宙空間説→星くず・隕石説→・火山説
     4.星くず・隕石説→宇宙空間説→火山説
  






問題Ⅲ 次の(1)から(6)の文章を読んで、それぞれの問いに対する答えとして最も適当なものを1,2,3,4から一つ選びなさい。
(1)寒い日が続いておりますが、いかがお過ごしでしょうか。
 さて、先日はたいへんお世話になりまして、ありがとうございました。あれから京都、奈良をまわり、昨晩帰宅いたしました。おかげさまでとても楽しい旅行ができました。旅行中の写真ができましたらお送りいたします。お体をお大切に。
問(1)  これはだれに送った手紙と思われるか。
     1.家で待っている両親への手紙
     2.職場で待っている先輩への手紙
     3.一緒に旅行してきた友人への手紙
     4.旅行中に訪問した家への手紙
  
(2)健康的にやせるには、運動は必要不可欠(注1)です。やせるためには、運動で1日300kca1(注2)消費を目標にします。
   ところで、運動が好きでない人や、これまで何もやってない人におすすめしたいのが、歩くことです。よく「1日1万歩」といわれますが、さっさと歩けば少なくとも250~300kca1を消費します。
(緒方弘一「台所を科学する一コツと勘どころ」緒方出版による)
(注1)不可欠:なぐてはならない
(注2)kcal:キロカロリー
問(1)  なぜ「1日1万歩」と言われるのか。
     1.速く歩けば30Okealぐらい消費するから。
     2.人が1日に歩ける最大の歩数だから。
     3.1万歩を歩くためには1日かかるから。
     4.1日ゆっくり歩くと1万歩になるから。
  
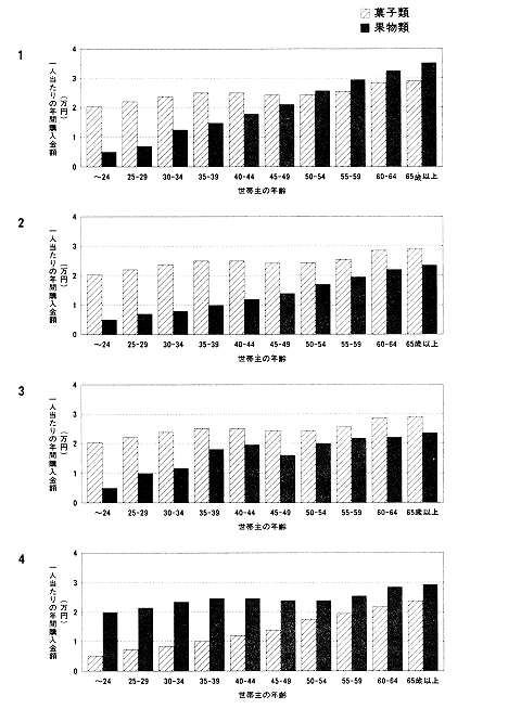
(3) 最近、果物の消費が伸びていません。そこで、果物の年間購入(注1)金額を調べてみました。人当たりの購λが最も多いのは世帯主(注2)が65歳以上の家庭で、最も少ないのは世帯主が24歳以下の家庭でした。金額にすると、前者は23.494円、後者は5,036円と、約4.7倍も差が開いています。
  果物の「敵」ほ、お菓子だとよく言われています、やはり、菓子類でも購入金額が最も多いのは世帯主が65歳以上で29,117円、少ないのは24歳以下で20,199円となっています。ところが、果物と菓子類とでは、やや達った傾向が見られます。いずれの年齢の世帯主の家庭でも、果物より菓子類の購入金額の方が多いのですが、年齢が上になるほど、この差は小さくなっていきます。これは、果物の購入を伸ばすためには、若い家庭に対する宣伝がもっと必要だということでしょう。
(注1)購入:買うこと
(注2)世帯主:法律上、一つの家庭の代表となる人
問(1)  次のグラツの中から説明に合っているものを選びなさい。
     1.
     2.
     3.
     4.
  
(4) 日本では、老人の割合がふえるにっれて、寝たままで立ち上がることのできない、いわゆる「寝たきり」老人がふえている。老人の病気の多くは年齢による老化が原因なので、完全には治らない。だが、病気がよくなってきたら、できるだけベッドから離れ、人の助けを借りた自分の力でいろいろなことを行うようにし、病気とじょうずにつき合っていくことが必要だろう。そういう努力をさせないのでは、「寝かせきり」と批判されるのは当然である。
問(1)  批判されるとあるが、だれが批判されるのか。
     1.老人の世話をする人
     2.病気とつき合っている人
     3.寝たままでいる老人
     4.人の助けを借りない人
  
(5)毎日使っているコップを割ってしまったとします。するともう水を入れたり、ジュースを入れたりできませんから、捨ててしまいます。このようにちょっと前まで、身近(注1)に使っていたものがごみとなります。ごみは、いらなくなったものだし、イメージも悪いので、私たちばずぐに忘れてしまいます。しかし、一口(注2)ごみといって片づけてしまわないで、ちょっと考えてほしいのです。
 じつは、あなたのまわりに見えるものはすべてごみなのです。たとえば、この本はいずれ紙のごみになります。机、いす、蛍光灯もいずれごみになります。(中略)つまり、ごみは私たちが買ったり、使ったりする品物そのものです。
 (八太昭道『ごみから地球を考える』の岩波ジュニア新書による)
注1)身近に:普通に、普段の生活で
(注2)一口で:簡単な言葉で
問(1)  「ごみというて片づけてしまわないで」とあるが、ここで「片づけてしまう」とはどういうことか。
     1.ごみ箱のなかに入れて捨ててしまうこと
     2.ごみのことをよく考えないで忘れること
     3.割れてしまったものをよく整理しておくこと
     4.割れたものを捨てないで大切に保存すること
  
(6)下のA-Dは、それぞれア、イ、ウ.エのどこかに入る文です。
七年ぷりに一年生を受け持った。
入学式後の写真撮影で騒いでいた子も、
(ア)
 ↓
驚いたことに、教室の前からも後ろからも、父母のビデオカメラが回っている。
三つ(注1)のヒントクイズを出した。「私は機械です。この教室にもあります。人間の腕にまいて ある時もあります。さあ何だ」。
(イ)
 ↓
「みんなすごいね。学校で勉強すること、ないんじゃない」とほめると、

 ↓
久しぶりに子どものロから聞く言葉だ。
(工)
 
A 「勉強、だ一いすき、の声が馨く。」
B 「勉強、学校という新しい世界への好奇心(注2)でいっぱいなのである。」
C 「教室に戻ると緊張した目で私を見ている。」
D 「子どもたちは「わかった。時計だ」と口々(注3)に言う。」
(「せんせいの胸の内」1995年4月17日付朝日新聞朝刊による)
(注1)三つのヒントクイズ:三つのことばから連想して答えをあてる遊び
(注2)好奇心::めずらしいものや変わったことへの興味
(注3)口々に:それぞれに声に出して 
問(1)  正しい組み合わせのものを選びなさい。
     1.ア:A イ:C: ウ:D エ:B
     2.ア:B イ:D ウ:A エ:C
     3.ア:C イ:D ウ:A エ:B
     4.ア:D イ:A ウ:B 工:C
  






問題Ⅳ 次の分の___にはどんなことばを入れたらよいか。最も適当なものを1234から一つ選びなさい。
問(1)  もう3年も国に帰っていないので、両親に会いたくて___。
     1.きれない     2.ほかない     3.しかない     4.ならない  
問(2)  いそがしくて、休みをとる___食事をする時間もない。
     1.ものなら     2.ことなく     3.どころか     4.ばかりか  
問(3)   あんな高いレストランには2度と行く___。
     1.ものか     2.ことか     3.ようだ     4.だろう  
問(4)  環境の問題を___参加者から多くの意見がだされた。
     1.かぎって     2.まわって     3.みなして     4.めぐって  
問(5)   さすか学生時代にやっていた___今でもテニスが上手だ。
     1.からには     2.にしては     3.だけあって     4.きっかけで  
問(6)  いっしょうけんめい練習___、マラソンの選手に選ばれなかった。
     1.するから     2.したのに     3.すれば     4.したら  
問(7)  彼女は一番行きたかった大学に合格し、うれしさの___跳び上がった。
     1.ともに     2.あまり     3.ばかり     4.たびに  
問(8)  たとえ仕事が___あまり文句を言わないほうがいい。
     1.つらいのに     2.つらければ     3.つらいなら     4.つらくても  
問(9)  あわてたところを___、彼は事実を知っているにちがいない。
     1.みると     2.みて     3.みたとき     4.みるなら  
問(10)  あの子はあまり食べられない___ごちそうをたくさん皿にとりたがる。
     1.くせに     2.せいに     3.うえに     4.ものに  
問(11)  あのマンションは若者___設計されている。
     1.むいた     2.むきで     3.むけて     4.むけに  
問(12)  夏休みも残す___あとわずかになった。
     1.だけで     2.ところ     3.かぎり     4.までに  
問(13)  部長と課長は何かと_____意見が対立する。
     1.よって     2.よると     3.いうと     4.いって  
問(14)  2メートル___かと思う大きな男の人が玄関先に立っていた。
     1.もあろう     2.にすぎる     3.もなった     4.にわたる  
問(15)  時間がたつに___パーティーはにぎやかになってきた。
     1.いたって     2.つれて     3.さいして     4.よって  
問(16)  わたしはこのごろからだの調子もよくなり、何でもおいしく___おります。
     1.めしあがって     2.あがって     3.いただいて     4.おっしゃって  
問(17)  このことはあなたにはわかって___と思っていました。
     1.くださる     2.いただける     3.さしあげる     4.うかがえる  
問(18)  看板は遠くからでも見える___大きく書きます。
     1.ためで     2.ように     3.ような     4.ために  
問(19)  おうちに帰られたら、お父様によろしく___ください。
     1.おつたえ     2.もうして     3.おたずね     4.いわれて  
問(20)  母は料理に___だれにも負けない自信がある。
     1.かけるなら     2.かけると     3.かけては     4.かければ  
問(21)  あの悲しい事件は___としてもわすれられません。
     1.わすれた     2.わすれれない     3.わすれよう     4.わすれる  
問(22)  あの人は外国人だということを___ほど日本語がじょうずだ。
     1.かんじさせる     2.かんじさせない     3.かんじられる     4.かんじられない  






問題Ⅴ 次の文の__にはどんな言葉をいれたらよいか。1,2,3,4から最も適当なものを一つ選びなさい。
問(1)  父は、普通ならとっくに引退している年齢だが、年をとっている___元気だ。
     1.からには     2.ほどには     3.わりには     4.うえには  
問(2)  いつも静かてやさしいあの人がそんなことを言ったなんて、ちょっと信じ___。
     1.ざるをえない     2.がたいことだ     3.ずにいられない     4.すぎないことだ  
問(3)  私は忘れっぽいほうなので、こんな所に傘を置いておくと、帰りにまた忘れ___。
     1.たくない     2.きれない     3.かねない     4.っこない  
問(4)  ぜんぜん自信がなかったのに優勝できたので、___。
     1.うれしさにすぎない     2.うれしくてたまらない
     3.うれしいこともない     4.うれしいほかない
  
問(5)  まだまだ時間があるからだいじょうふだと思っていたけれど、この渋滞では約束の時刻に___。
     1.間に合いきれない     2.間に合いかねない
     3.間に合うことはない     4.間に合いそうもない
  
問(6)  彼は確かにりっぱな人だと思うが、この点に関してだけはどう見ても間違っていると___。
     1.言わざるをえない     2.言うどころではない
     3.言わずにおくしかない     4.言うわけにはいかない
  






問題Ⅵ 次の文の__にはどんな言葉をいれたらよいか。1,2,3,4から最も適当なものを一つ選びなさい。
問(1)  彼はクラスのみんなから信頼されている。責任感が強い___いつもほかの人の身になって考えるからだ。
     1.よりも     2.うえに     3.ながら     4.あげく  
問(2)  今日の音楽会はすうばらしかった。私の聞いた___では、今までで最高の演奏だった。
     1.以来     2.以上     3.うえ     4.なか  
問(3)  そんなにうるさがってはいけません。あなたのことを思っている___いろいろと注意するのですから。
     1.からこそ     2.からさえ     3.に応じて     4.に加えて  
問(4)  何回も話し合ってみんなで決めたことだ。決めた___成功するようにがんばろう。
     1.ためには     2.わけには     3.からには     4.うえには  
問(5)  「今日はみんなでレストランへ行って食事をしよう。」何を思ったのか、父が急にそんなことを言い出した___みんなおどろいてしまった。
     1.わけだから     2.ものだから     3.ようだから     4.ことだから  
-- partページ 3 --