method 2

Menu JLPT / 1994: JLPT-2 (N3-N2)
Japanese language proficiency test
009 - Task 1
Grammar and Reading

 





問題Ⅰ 次の文章を読んで、後の問いに答えなさい。答えは、1、2、3、4から最も適当なものを一つ選びなさい。
  私が半年ほど入院した、同じ病室に、安全に寝たきり(注1)になっていたKさんという人がいました。彼の毎日の楽しみは、看護婦さんに「息子(注2)から電話があったでしょうか」と尋ね、「あったわよ」と言う看護婦さんの返事を聞くことでした。当初、私は、オヤジ(注3)の病状を毎日のように電話で尋ねてくるいい息子さんだなぁーと感心しながら、Kさんと看護婦さんのやりとりを、ベッドの上で眺めていました。
ところが、それがうそであることが、しばらくして分かりました。息子さんからの電話はなく、看護婦さん達が、かかってきたかのように演じていたのです。それはKさんを励まし、希望をもたせるために、看護婦さん達がついた精いっぱいのやさしいうそでした。そして、悲しいうそでした。というのは、Kさんが入院した当初は、本当にその息子さんから毎日のように病院に電話があったそうです。トラックの運転手をしていた彼は、仕事で全国を走り回っていたため、直接、病院に見舞いに来られなかったのです。入院して以来、Kさんは何度か危険な状態になったことがあったそうです。そのたびに、看護婦さんが、「息子さんから電話がかかっているのよ」と声をかけると、不思議ともち直したというのです。
  そんなある日、病院に悲しい電話が入りました。交通事故で、Kさんの息子さんが亡くなったという知らせでした。もちろんKさんの病状を心配して、そのことはしらせないことにしたそうです。そしてその日から、看護婦さん達の幻の電話を知っていたかのように、ただ「ありがとう、ありがとう」を繰り返すばかりでした。Kさんの遺体が病室を出て、廊下をエレベーターに向かう途中、ナース・ステーションの前を通り過ぎたところで、突然「リーンリーン」という電話のベルが鳴り、一瞬、みんな、そこに⑦立ち止ってしましました。そして鳴り響くそのベルの音を聞きながら、看護婦さん達がボロボロ涙を流していた光景を、10年近くたった今でも鮮明に思い出します。
(笹本新平「看護婦さん、電話ありましたか?」「第7回・NTTふれあいトーク大賞100選」NTT出版による)
(注1)寝たきり: 病気などのために、起きて活動できなくなった状態
(注2)息子:息子(むすこ)
(注3)オヤジ:父親
(注4)容体:病気の状態
(注5)遺体:死体
(注6)ナース・ステーション:看護婦の部屋
問(1)  「オヤジ」とはだれか。
     1.Kさん
     2.Kさんの父親
     3.筆者
     4.筆者の父親
  
問(2)  「それがうそであることが、しばらくして分かりました」とあるが、何がうそなのか。
     1.Kさんの息子が病院に電話をかけたこと
     2.Kさんが息子からの電話を楽しみにしていたこと
     3.筆者と同じ病室にKさんがいたこと
     4.筆者がKさんの息子をいい息子だと思ったこと
  
問(3)  「看護婦さん達がついた精いっぱいのやさしいうそ」とあるが、看護婦達がうそをついたのはなぜだと考えられるか。
     1.うそをつくことが楽しかったから
     2.筆者がうそをつくように頼んだから
     3.Kさんの息子に病院に来てもらいたいから
     4.Kさん少しでも元気になってほしいから
  
問(4)  「そのたびに」とあるが、この場合、次のどの表現に最も近いか。
     1.Kさんの息子から電話があった ときはいつも
     2.Kさんの病状がよくなりかけた ときはいつも
     3.Kさんの病状が非常に悪くなった ときはいつも
     4.Kさんの息子が見舞いに来られなかった ときはいつも
  
問(5)  「そのこと」は、何を指すか。
     1.Kさんの病気が悪いこと
     2.Kさんの息子が死んだこと
     3.Kさんにうそをついていたこと
     4.Kさんの病状を心配していること
  
問(6)  「幻の電話」とは、どんな電話か。
     1.本当はかけることができない電話
     2.本当はかかってきていない電話
     3.本当はかけてはいけない電話
     4.本当はかけたくない電話
  
問(7)  「幻の電話」が始まったのは、いつからか。
     1.Kさんが入院した時から
     2.Kさんが亡くなった時から
     3.Kさんの息子が亡くなった時から
     4.Kさんのむぅこが忙しくなった時から
  
問(8)  「立ち止ってしまいました」とあるが、なぜだと考えられるか。
     1.「ありがとう」とお礼を言われたから
     2.エレベーターがまだ来ていなかったから
     3.電話機がないのみ電話のベルが鳴ったから
     4.Kさんの息子からの電話のように思えたから
  






問題Ⅱ 次の文章を読んで、後の問いに答えなさい。答えは、1、2、3、4から最も適当なものを一つ選びなさい。
「道具の作製」
  飼育(注1)されているチンパンジーが道具をつくることは前からわかっていた。有名なものに1914年行われたケーラー(W.Kkoheler)の実験がある。
  (※1)チンパンジーの手のとどかない柵の向こうにバナナをおき、手をとどくところに棒をおいておくと、棒を使ってバナナをとりよせることはたいがいのものがすぐできる。棒がないときは木の枝を折り取ってそれでひきよせつことのできるものもいる。このチンパンジーのなまえはズルタンといった。
  今度はズルタンに丈夫で中空(注2)な葦(注3)の茎(注4)の棒を太いものと細いものと2本がつながった。とたんにとんでいってバナナをひきよせはじめた。2本の棒をつなぐことにより、有効な道具がつくれたわけである。(中略)
  (※2)もう一つの実験がある。壁はつるつるでのぼることができないへやのす隅に、一辺50センチぐらいの大きさの木箱をおいておく。バナナを手のとどかない高いところに吊しておく。ズルタンはとび上がってとどかないとわかると、箱をひきずってきてこの上からとび上がり、バナナをとることができた。次にさらに高いところにバナナを吊し、箱の数をまして積み上げないととどかないようにする。これは初めはなかなか難しかったが、だんだんできるようになった。ほかのチンパンジーも見習ってできるようになり、グランデという名のチンパンジーは四つまで積み上げるのに成功した。この積み上げられた箱は、ある目的のためにつくられた一種の建造物であると考えられる。
  箱の実験においてはこのほかに面白いことが二つ観察されている。一つは箱一つの実験でなかなか解決法がみつからなかったときに、実験者がまったく考えていなかったうまい解決法である。チンパンイーに臨機応変(注5)の才能のあることを示している。
  いま一つは協同作業にみえるものが現れたことである。箱を積み上げることを知っているもの同士があつまると、われがち(注6)に箱を積もうとする。これは協同作業ではなく箱が崩れ落ちる結果となる。ただ、一度だけ離れたところにおいてあった大きな檻(注7)をグランデが使おうとして、うごかすことができなかったことがある。するとランというチンパンジーとズルタンとがかけよってきて、一頭ではうごかなかった檻を三頭でうまくうごかして目的のバナナの近くへ運んでいった。ただし、まだ真下へこないうちにズルタンが檻にとびのり、そこから跳躍してバナナをとってしまい、ほかの二頭はなにもとれない結果に終わった。これは真の協同作業というよりは、グランデがなにをしようとしているかをほかの二頭がただちに理解し、それぞれが自分自身のためにこれを運んだのであろう。 
               (木村賛「サルとヒトと」サイエンス社による)
(注1)飼育する:飼う
(注2)中空な:中が空の
(注3)葦:植物の名前
(注4)茎:
(注5)臨機応変:そのときの状況に合わせてやり方を変えること
(注6)われがちに:他のものよりも先に
(注7)檻:動物が逃げないように入れておくもの
問(1)  ケーターの実験のうち、(1)の部分では、どのように実験が行われたか。(1)の内容と合っている図を選びなさい。
     1.     2.     3.     4.  
問(2)  「とたんに」という表現を言い換えると、この場合、次のどれに最も近いか。
     1.2本の棒を見ると、すぐに
     2.2本の棒がつながると、すぐに
     3.2本の棒で遊び始めると、すぐに
     4.2本の棒があたえられると、すぐに
  
問(3)  (2)の部分の内容に合っている図を選びなさい。
     1.     2.     3.     4.  
問(4)  「臨機応変の才能のあることを示している」とあるが、この場合、何が「臨機応変の才能」を示しているか。「臨機応変」ということばの説明(注5)を参考に答えなさい。
     1.道具をつくったこと
     2.箱を積み上げたこと
     3.人をつれていったこと
     4.2本の棒をつないだこと
  
問(5)  「協同作業」というのは、この場合、どの行動を示しているか。
     1.箱を積むこと
     2.檻をうごかすこと
     3.箱をひきずること
     4.檻にとびのること
  
問(6)  この文章で紹介されている実験の中で、チンパンジーが道具として使ったものは、どれか。
     1.箱を積むこと     2.箱とバナナ     3.柵と棒     4.柵とバナナ  
問(7)  この文章によると、チンパンジーはどのようなことができるか。
     1.実験者のことばを理解する
     2.実験者を見習って行動する
     3.他のチンパンジーと相談し、協同作業をする
     4.他のチンパンジーの考えていることを理解する
  






問題Ⅲ 次の(1)から(6)の文章を読んで、それぞれの問いに対する答えとして最も適当なものを1,2,3,4から一つ選びなさい。
(1) スポーツはもともと大人の文化であった。だから子どもがスポーツを楽しむのには幼児から児童にかけての段階で外遊びをじゅんぶんに体験し、心身が大人に近く成長していなければならない。
    子どもがスポーツを楽しめるようになるのは、およそ9、10歳のころといわれている。スポーツとの出会いの時期だ。スポーツにつきものの競争を楽しむ感情の発達、ルールや技術などを身につけ考える力、そして体力がぐんとついてくるからである。もし、それ以前の外遊びがじゅんぶんでなかったり、それより早い時期にスポーツを無理やり教えこまれると、心や体の障害を起こしやすくなる。
(内海和雄「スポーツは文化」「ジュニア情報年鑑ゆにぼす21 94年度版」文溪堂による)
問(1)  筆者の考えに最も近いものは、どれか。
     1.子どもはあまり外遊びをしないふがよい
     2.大人になるまでスポーツをしないほうがよ
     3.できるだけ早くからスポーツを始めたほうがよい
     4.9、10歳までは外遊びを十分にするほうがよい
  
(2)基本的にいすべての経済行為は、お金のやり取りです。一番オーソドックス(注)なものは「お金を出してモノを買う」という形式でしょう。子供がアメを買うのも大人が車を買うのも、同じ「経済行為」にあたります。
   しかし、美容院へ行ったり、電話料金を払ったりというように、”サービス”を受けた対価としてお金を支払う場合には、モノを受け取っていません。けれども目に見えないサービスも「商品」として考えているためお金を払うわけですから、同じ経済行為として考えることができます。
    (かんき出版編集部「手によるように経済のことがわかる本」かんき出版による)
(注)オーソドックスな:本来的な、基本的な
問(1)  この文章で述べられている「モノ」「サービス」「商品」の関係を表すものとして最も適当なのは、どれか。
     1.     2.     3.     4.  
(3) 幼い子どもに弟や妹ができると、赤ん坊に戻ったように振る舞うことがある。それまで自分の世話だけをしてくれていた母親が、生まれたばかりの弟や妹の世話で忙しくなる。赤ん坊に戻って、自分も同じように母親に世話をしてもらいたいと思うのだろう。
   母親は、どの子も同じように育てているつもりである。しかし、子どもにはそのことがわからないので、自分は大切にされていないと思い、不安になるのだろう。
問(1)  「そのこと」とは何か。
     1.母親は自分を弟や妹ほど大切にしていないこと
     2.母親は生まれたばかりの弟や妹の世話で忙しいこと
     3.母親は子どもが不安に思っているのを知っていること
     4.母親はどの子も同じように育てているつもりであること
  
(4)モンデーニュ(注1)は、こういうことをいっている。世間にはよく、心では思っているのだけれど、どういっていいかわからない、という人がある。その人は、たいへんいいことを考えている人のように見えるが、言葉にならないということは、心のなかにはなんにもない、ということである。もし考えがあるならば、言葉続々として従う(注2)、という。
   たしかに、言葉にあらわしてみて、はじめて自分の考えのつまらなさがわかることがある。何かすばらしい考えでもあるように思っているだけである。後世の哲学者はみなこの意味のことをいっている。
   考えるというのは、言葉や文字で考えるのである。言葉になったものが考えなのである。
                (杉山平一「映画芸術への招待」講談社による)
(注1)モンデーニュ:人の名前
(注2)言葉続々として従う:言葉が次々出てくること
問(1)  この文章の内容に最も近いものは、どれか。
     1.言葉で表せなければ、本当に考えたことにはならない。
     2.本当に考えていれば、言葉にに表す必要はない。
     3.いい考えというのは、言葉に表せないものだ。
     4.言葉に表せるのは、たいていつまらない考えである。
  
(5)次の①~④は挨拶について気をつけなければならないこと、aからdはそのタイトルです。
   【タイトル】
a 家族でもきちんと挨拶をしましょう
b何はおいても「おはようございます
c 挨拶言葉にひと言つけ加えて
d目は心を伝えます
①ある学校で、家庭で挨拶しているかどうかを調べたら、約3分の2の家庭が挨拶をしないという結果が出ました。朝起きたら誰からでも「おはよう」と声をかけましょう。この朝の挨拶がすべての挨拶の基本になります。
②この言葉を家庭でも職場でも気持ちよく出せる人は、「こんにちは」「ありがとう」「すみません」「さようなら」などは簡単に言えます。やさしい挨拶が上手にできれば、応用はスムーズです。
③同僚間の「おはよう」「さようなら」は声だけでもよいでしょう。しかし、ちょっと改まった挨拶には必ず相手に正対し、目をみて挨拶することを心がけましょう。必ず心が伝わります。
④「おはようございます」「こんにちは」の決まり文句に、「寒いですね」「セーターの色、きれいですね」などのひと言をつけ加えて下さい。一段と親しみのある光った挨拶になります。相手もぐっと心を開きます。
              (田中 敏之「マナーは優雅に」朝日新聞社による)
問(1)  上のa~dのタイトルと、①~④の文章の正しい組み合わせを選びなさい。
     1.a-④ b-① c-② d-③
     2.a-② b-① c-③ d-④
     3.a-① b-② c-④ d-③
     4.a-② b-③ c-④ d-①
  
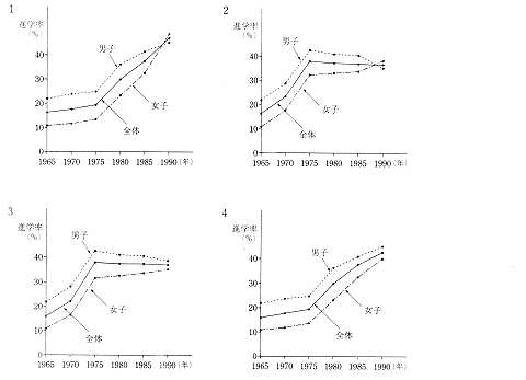
(6) 次の文章は大学進学率に関する、1965年から1990年までの5年ごとの調査結果について述べたものです。
   大学への進学率は全体で見ると、75年までは急激に伸びた。しかし、75年を境にして伸びは止まり、ほぼ一定の状態がこの15年ほど続いている。
   男女別に見てみると、75年以降、男子の進学率はややした下降する傾向を示しているのに対し、女子の進学率はその伸びは鈍くなったが少しずつ上昇を続けており、90年には男子の進学率より高くなった。
問(1)  次のグラフの中から、この文章に合うものを選びなさい。
     1.     2.     3.     4.  






問題Ⅳ 次の分の___にはどんなことばを入れたらよいか。最も適当なものを1・2・3・4から一つ選びなさい。
問(1)  こんなにごちそうがならぶと、とても食べ___ません。
     1.あがり      2.しまい      3.かね      4.きれ  
問(2)  試験に合格するには、がんばる___ない。
     1.ばかり      2.だけ      3. しか     4.のみ  
問(3)  ふるさとの母から届いた手紙を___うちに、思わず涙がこぼれた。
     1.読んでおく      2. 読んでいる     3.読んである      4.読んでしまう  
問(4)  自分のことだけではなく、相手の立場に立って考えることのできる人、それが大人という___です。
     1. もの     2.ひと      3.ほう      4.ところ  
問(5)  私も留学していたことがありますから、あなたの苦労がわからないこと___ありません。
     1.と      2.まで      3. さえ     4.も  
問(6)  景気が悪くて、ここ数年、失業率は___一方だ。
     1.あがる      2.あがり      3.あがった      4.あがるの  
問(7)  日本をおとずれるなら、9月から10月に___の時期をおすすめします。
     1.そって      2.かけて      3.わたって      4.おいて  
問(8)  困っている人を見たら、助けず___いられない。
     1.とも      2. をも     3.には      4.では  
問(9)  彼は、タクシー運転手___道を知らない。
     1.にすれば      2. にするに     3. にすると     4.にしては  
問(10)  有能なA君のこと___、きっといい仕事をするだろう。
     1.ながら      2.にして      3. だから     4.にせよ  
問(11)  日本語は、勉強すれば___ほど難しくなるような気がする。
     1. した     2.する      3. して     4.すれ  
問(12)  天気___よければ、よい旅行になるでしょう。
     1.さえ      2. すら     3.しか      4.ばかり  
問(13)  実際に自分で読んでみて___、古典のおもしろさを知った。
     1. はじめ     2. はじめで     3.はじめて      4.はじめると  
問(14)  先生の講義が終わるか___かのうちに、ノートや教科書を閉じてかたづけはじめる学生もいる。
     1. 終わる     2. 終わらない     3.終わっている      4.終わっていない  
問(15)  疲れたときは、___に限ります。
     1.寝      2. 寝る     3.寝て      4.寝た  
問(16)  若く見えるので学生だと思って___かけてみたら、実は先生だった。
     1. 話す     2.話さ      3.話せ      4.話し  
問(17)  「開会___あたり、社長からおことばをいただきたいと思います。」
     1.を      2. で     3.と      4.に  
問(18)  環境問題の解決策を___、熱心な議論が続いている。
     1.通じて      2.まわって      3.こめて      4.めぐって  
問(19)  その子供は、お医者さんや看護婦さんの拍手の中___退院していった。
     1. が     2. に     3.を      4.まで  
問(20)  もともと勉強する気がないのなら、大学を受けて___ところで何の意味があるのか。
     1.みた      2.みる      3.いる      4.いた  
問(21)  子供にもわかる___、私はやさしいことばで説明しています。
     1.ためで      2. ために     3.ようで      4.ように  
問(22)  私はあなたからこの書類にさいんを___までは、ここを動きません。
     1.もらう      2.もらって      3.もらった      4.もらおう  
問(23)  「今度の旅行では、珍しい本を手に入れたんですよ。ちょっとお見せ___か。」「それはぜひお願いします。
     1.しましょう      2.にしましょう      3.なりましょう      4.になりましょう  
問(24)  長いことごぶさたしておりましたが、いかがお過ごしでしょうか。一度お目に___たいと思っておりますが、なかなか時間がなく、失礼しております。
     1.なり      2.入り      3.かかり      4.あずかり  






問題Ⅴ 次の文の___にはどんな言葉を入れたらよいか。1・2・3・4から最も適当なものを一つ選びなさい。
問(1)  彼は以前オーストラリアに住んでいただけあって、さすかにこの国のことを____。
     1.よく知りたい     2.もっと知るべきだ
     3.よく知っている     4.しらなければならない
  
問(2)  どんなに一生懸命働いたところで、生活は楽に___と思う。
     1. なるだろう     2.なるかもしれない
     3.ならないだろう
     4.ならなければならない  
問(3)  あまり将来のことを考えずにこの仕事を選んたばかりに、今、____。
     1. 苦労ばかりしている     2.苦労することはない
     3.苦労したほうがいい      4.苦労しないですんでいる
  
問(4)  マラソン大会に出場するからには、よく練習をして42.195KMを___。
     1.走るまい      2.走りがたい
     3. 走りかねない     4.走りぬきたい
  
問(5)  わたしの好きな作家は今年80歳になります。実際に会う機会があったんですが、年齢のわりには___。
     1.若くしました      2.若くみえました
     3.若かったそうです      4.若かったらしいです
  
問(6)  日本の企業に就業が決まった以上、日本語をマスター____。
     1.してしまった      2.したらしい
     3. するわけではない     4.しなければならない
  






問題Ⅵ 次の文の___にはどんな言葉を入れたらよいか。1・2・3・4から最も適当なものを一つ選びなさい。
問(1)  文章を書くということは、何かを表現することであり、自分は何を表現したいのか、それをはっきり___、何も書けない。
     1.させないように      2.させないことには
     3.させたいというのは      4.させたいといっても
  
問(2)  わたしは子供のころから物事を決めるのが遅くて、ずっと悩んできた。たとえば、友だちに旅行にさそわれても、___、すぐに返事をしないで、いろいろ考えているうちに時間がたってしまう。いつのまにか友達もあきらめ、旅行はとりやめになってしまい、残念に思うことが多い。
     1. 行きたくないわけではないが     2.行きたくないから
     3.行きたいわけではないが      4.行きたいというより
  
問(3)  商品というのは、店に並べておくだけで、それを買う人がいなければ、商品として成立しない。とすると、高すぎて品物が売れない場合には___。そうすることによって、その品物の買い手が見つかり、その結果はじめて商品になるわけだ。
     1. 値下げすることはない     2.値下げすべきではない
     3.値下げせざるをえない      4.値下げするおそれがある
  
問(4)  この作品は、実際に起こった事件の記録に___描かれており、その内容が非常に感動的だったので、多く人たちに強い印象を与えた。
     1.限って      2.反して      3.対して      4.基づいて  
-- partページ 3 --